Regelwerk; Immissionsschutz, Lärm

AV LImSchG Bln - Ausführungsvorschriften zum Landes-Immissionsschutzgesetz Berlin
- Berlin -

Vom 9. Dezember 2015
(ABl. Nr. 53 vom 30.12.2015 S. 2982; 29.05.2025 S. 1699aufgehoben)



Zur aktuellen Fassung

Archiv: 2006, 2007 2013

Auf Grund des § 14 des Landes-Immissionsschutzgesetzes Berlin vom 5. Dezember 2005 (GVBl. S. 735, 2006 S. 42), das durch Gesetz vom 3. Februar 2010 (GVBl. S. 38) geändert worden ist, werden zur Ausführung dieses Gesetzes die folgenden Ausführungsvorschriften erlassen:

1. Zu § 1 - Geltungsbereich und Begriffsbestimmungen

(1) Das Landes-Immissionsschutzgesetz Berlin ( LImSchG Bln) soll Mensch und Umwelt vor schädlichen Umwelteinwirkungen schützen, die durch den Betrieb nicht genehmigungsbedürftiger Anlagen im Sinne des Bundes-Immissionsschutzgesetzes ( BImSchG) verursacht werden (anlagenbedingte Immissionen). Ferner soll es vor schädlichen Umwelteinwirkungen schützen, die von Personen verursacht werden (verhaltensbedingte Immissionen). Dem menschlichen Verhalten sind alle Immissionen zuzurechnen, die von Menschen entweder durch aktives Tun (zum Beispiel durch Feiern, Singen und Grölen; durch Poltern und Trampeln; durch Betätigungen ohne Verwendung von Maschinen und Geräten) erzeugt werden oder durch Unterlassung (zum Beispiel durch ungenügende Aufsicht der verantwortlichen Inhaberinnen und Inhaber von Firmen, Gaststätten und Wohnungen, von Tierhaltenden, von Eltern oder anderen aufsichtspflichtigen Personen) entstehen. Durch das Gesetz werden bundeseinheitlich gefestigte Umweltschutzstandards in das Berliner Landesrecht übernommen.

(2) Bei nicht genehmigungsbedürftigen Anlagen findet das Landes-Immissionsschutzgesetz Berlin neben den Bestimmungen des § 22 ff. BImSchG Anwendung und konkretisiert die dort formulierten allgemeinen Betreiberpflichten. Das Gesetz umfasst den gesamten Betriebszyklus einer nicht genehmigungsbedürftigen Anlage und gewährleistet in allen Phasen Schutz vor schädlichen Umwelteinwirkungen. Dies betrifft auch die Beseitigung solcher Anlagen. Das Landes-Immissionsschutzgesetz Berlin schafft keine eigenständige Rechtsgrundlage zur Beseitigung von nicht genehmigungsbedürftigen Anlagen.

(3) Das Landes-Immissionsschutzgesetz Berlin findet keine Anwendung auf:

  1. Verkehrsimmissionen, die durch den öffentlichen Straßen-, Schifffahrts- und Schienenverkehr sowie durch den Luftverkehr verursacht werden,
  2. Immissionen am Arbeitsplatz,
  3. besondere Immissionen im häuslichen Bereich, die zum Beispiel vorrangig auf Grund mangelhaften Schallschutzes an oder in baulichen Anlagen zu Störungen führen.

(4) Das Landes-Immissionsschutzgesetz Berlin ist für den Betrieb von Schiffen anwendbar, soweit es sich um Immissionen handelt, die durch Arbeiten oder Veranstaltungen auf dem Schiff verursacht werden. Für den Betrieb von Anlagen oder Arbeiten an Liegeplätzen im Zusammenhang mit Schiffen gelten die anlagenbezogenen Regelungen des Bundes-Immissionsschutzgesetzes und des Landes-Immissionsschutzgesetzes Berlin, soweit es sich nicht um verkehrsbezogene Immissionen handelt.

(5) Spezialgesetzliche Vorschriften gehen dem Landes-Immissionsschutzgesetz Berlin vor. Hierzu zählen insbesondere:

  1. die Sportanlagenlärmschutzverordnung ( 18. BImSchV) bei Geräuschen durch den Betrieb von Sportanlagen
    Auf Sportveranstaltungen sind die Bestimmungen der Sportanlagenlärmschutzverordnung anzuwenden. Für solche Veranstaltungen werden keine Genehmigungen nach § 11 LImSchG Bln oder Ausnahmezulassungen nach § 10 Absatz 1 LImSchG Bln erteilt. § 6 der 18. BImSchV bleibt unberührt. Veranstaltungen, die sowohl sportliche wie auch unterhaltende Anteile aufweisen, sind als Sportveranstaltungen zu bewerten, wenn die sportlichen Elemente die Veranstaltung prägen. Bei Veranstaltungen, die aus einem sportlichen Teil und einem unterhaltenden Teil bestehen, ist das Landes-Immissionsschutzgesetz Berlin auf den unterhaltenden Teil anwendbar, wenn sich die beiden Teile klar voneinander abgrenzen lassen.
  2. die Verordnung zur Auswurfbegrenzung von Holzstaub ( 7. BImSchV) bei Staubimmissionen durch die in § 1 der 7. BImSchV genannten Anlagen,
  3. das Gaststättengesetz ( GastG) und die Gaststättenverordnung ( GastV) bei Verstößen gegen Lärmschutzauflagen beziehungsweise gegen Sperrzeitregelungen beim Betrieb von Schankwirtschaften einschließlich Vorgärten und Diskotheken,
  4. die Erste Verordnung zum Sprengstoffgesetz ( 1. SprengV) bei Geräuschen durch die Verwendung von pyrotechnischen Gegenständen (zum Beispiel Feuerwerke),
  5. das Gesetz zum Schutz der öffentlichen Grün- und Erholungsanlagen ( GrünAnlG) bei Immissionen innerhalb öffentlicher Grün- und Erholungsanlagen, soweit andere Anlagenbesucher durch Lärm unzumutbar gestört werden,
  6. das Berliner Naturschutzgesetz ( NatSchG Bln) in Verbindung mit den hierzu erlassenen Verordnungen bei Immissionen innerhalb von Naturschutz- und Landschaftsschutzgebieten, soweit diese ausschließlich die geschützten Gebiete betreffen,
  7. das Landeswaldgesetz ( LWaldG) bei Immissionen innerhalb von Waldflächen, soweit diese ausschließlich die Waldflächen betreffen,
  8. die Straßenverkehrs-Ordnung ( StVO) bei Immissionen durch den Betrieb von Kraftfahrzeugen auf öffentlichem Straßenland,
  9. die Verordnung über den Betrieb von Kraftfahrunternehmen im Personenverkehr (BOKraft) bei Geräuschen durch die Benutzung von Tonwiedergabegeräten und Musikinstrumenten in Taxen und Kraftomnibussen,
  10. die Geräte- und Maschinenlärmschutzverordnung ( 32. BImSchV), unter Berücksichtigung von § 6 Absatz 3 LImSchG Bln,
  11. das Versammlungsgesetz bei Geräuschen von öffentlichen Versammlungen und Aufzügen
    Dies gilt für den Lärm, der von einer Versammlung im Sinne des Artikel 8 des Grundgesetzes (GG) selbst ausgeht, wie auch für die Benutzung von Tonwiedergabegeräten und Musikinstrumenten, die im Rahmen der Versammlung benutzt werden. Insofern kommt eine Ausnahmezulassung nach § 10 LImSchG Bln oder eine Genehmigung nach § 11 LImSchG Bln nicht in Betracht. Sollte sich an eine Versammlung eine Veranstaltung anschließen, die nicht unter das Versammlungsgesetz fällt, so ist auf diese Veranstaltung das Landes-Immissionsschutzgesetz Berlin anzuwenden. Auf Antrag kann eine Genehmigung nach § 11 LImSchG Bln erteilt werden. Die Veranstaltung muss klar von der Versammlung abgrenzbar sein. Dies gilt auch für kulturelle Beiträge im Anschluss an Versammlungen. Sofern solche kulturellen Beiträge integraler Bestandteil der Versammlung sind, fallen diese unter das Versammlungsgesetz. Die Auslegung des Versammlungsgesetzes und die Beurteilung, ob ein Vorhaben Versammlung oder sonstige Veranstaltung ist, obliegen der Versammlungsbehörde.
  12. die Verordnung über elektromagnetische Felder ( 26. BImSchV) bei ortsfesten Anlagen, die elektromagnetische Felder emittieren,
  13. die Verordnung über das Nachweisverfahren zur Begrenzung elektromagnetischer Felder (BEMFV) zur Regelung des Nachweisverfahrens des Personenschutzes bei ortsfesten Funkanlagen,
  14. die Verordnung zur Begrenzung der Emissionen flüchtiger organischer Verbindungen bei der Verwendung organischer Lösemittel in bestimmten Anlagen ( 31. BImSchV).

(6) Das Landes-Immissionsschutzgesetz Berlin verwendet die Rechtsbegriffe des Bundes-Immissionsschutzgesetzes. Bei der Auslegung des Inhaltes dieser Begriffe ist auf die Rechtsprechung und Literatur zum Bundes-Immissionsschutzgesetz zurückzugreifen. Der Anlagenbegriff ist weit auszulegen. Zu den Anlagen zählen insbesondere:

  1. Betriebsstätten (zum Beispiel Handwerksbetriebe, Einzelhandelsgeschäfte, Großmärkte, Gaststätten einschließlich ihrer Schankvorgärten, Diskotheken) und sonstige ortsfeste Einrichtungen mit ihren Nebeneinrichtungen (zum Beispiel Werkssirenen, Lautsprecheranlagen, Abfüll-, Verpackungs-, Verlade-, Transport-, Reparatur-, Versorgungs-, Entsorgungs- und Lagereinrichtungen, Liegeplätze für Schiffe, Kirchturmglocken, Turmuhren),
  2. Maschinen und Geräte (zum Beispiel Arbeitsgeräte und Werkzeuge, die mit elektrischen oder Verbrennungsmotoren angetrieben werden, Baumaschinen, Wärmepumpen, Stromerzeuger, Wasserpumpen, Arbeitsmaschinen auf Fahrzeugen), Be- und Entlüftungsanlagen, sonstige ortsveränderliche technische Einrichtungen (zum Beispiel Hebe- und Fördereinrichtungen), Autoalarmanlagen, Standheizungen, Tonwiedergabegeräte und elektroakustisch verstärkte Musikinstrumente,
  3. Fahrzeuge, soweit sie nicht der Vorschrift des § 38 BImSchG unterliegen
    Fahrzeuge sind Anlagen, soweit sie nicht zum Personenoder Güterverkehr auf öffentlichen Verkehrswegen oder im Luftraum eingesetzt werden. Damit sind die Bestimmungen des Landes-Immissionsschutzgesetzes Berlin anwendbar auf Bau- und Transportfahrzeuge, wenn sie das öffentliche Straßenland verlassen und auf Betriebs- oder Baugrundstücken eingesetzt werden. Fahrzeuge auf öffentlichem Straßenland, die nicht am Verkehr teilnehmen (zum Beispiel Ladevorgänge ausführen), sind ebenfalls Anlagen im Sinne dieses Gesetzes.
  4. Grundstücke, auf denen Stoffe gelagert oder abgelagert oder Arbeiten durchgeführt werden (zum Beispiel Baustellen, Lagerplätze, Parkplätze), ausgenommen öffentliche Verkehrswege,
  5. Freizeitanlagen entsprechend Nummer 6 dieser Ausführungsvorschriften,
  6. Sportanlagen gemäß § 1 Absatz 2 der 18. BImSchV

Zu den Sportanlagen zählen auch Grundstücke sowie das öffentliche Straßenland, soweit sie für Sportveranstaltungen genutzt werden.

Keine Anlagen sind einfache Werkzeuge, Sportgeräte, Spielzeuge und nicht elektroakustisch verstärkte Musikinstrumente.

Vom Begriff der schädlichen Umwelteinwirkungen im Sinne des § 3 Absatz 1 BImSchG umfasst sind neben natürlichen Personen auch die Tier- und Pflanzenwelt. Soweit zur Beurteilung der Erheblichkeit von Immissionen Regelwerke herangezogen werden, die auf den Schutz vor schädlichen Umwelteinwirkungen abstellen, sind die Tier- und Pflanzenwelt regelmäßig mit berücksichtigt.

(7) Bei der Beurteilung der Erheblichkeit von Immissionen sind insbesondere folgende Regelwerke heranzuziehen:

  1. die Verordnung zum Schutz vor Geräuschimmissionen durch Veranstaltungen im Freien (Veranstaltungslärm-Verordnung - VeranstLärmVO) vom 30. September 2015 zur Beurteilung und Bewertung der Zumutbarkeit von Geräuschimmissionen, die durch öffentliche Veranstaltungen im Freien verursacht werden unter Beachtung der Regelungen in Nummer 8 dieser Ausführungsvorschriften,
  2. Sechste Allgemeine Verwaltungsvorschrift zum Bundes-Immissionsschutzgesetz (Technische Anleitung zum Schutz gegen Lärm - Ta Lärm) vom 26. August 1998,
  3. Allgemeine Verwaltungsvorschrift zum Schutz gegen Baulärm - Geräuschimmissionen - (AVV Baulärm) vom 19. August 1970,
  4. Freizeitlärm-Richtlinie (siehe Anlage 1), soweit es sich nicht um Immissionen durch öffentliche Veranstaltungen im Freien handelt,
  5. Erste Allgemeine Verwaltungsvorschrift zum Bundes-Immissionsschutzgesetz (Technische Anleitung zur Reinhaltung der Luft - Ta Luft) vom 24. Juli 2002,
  6. Richtlinie zur Feststellung und Beurteilung von Geruchsimmissionen (Geruchsimmissions-Richtlinie - GIRL) vom 21. September 2004,
  7. Hinweise zur Messung, Beurteilung und Minderung von Lichtimmissionen (siehe Anlage 2),
  8. Hinweise zur Messung, Beurteilung und Verhinderung von Erschütterungsimmissionen (Beschluss des Länderausschusses für Immissionsschutz vom 10. Mai 2000),
  9. Hinweise zur Durchführung der Verordnung über elektromagnetische Felder (Beschluss der 128. Sitzung der Bund/ Länder-Arbeitsgemeinschaft für Immissionsschutz am 17. und 18. September 2014),
  10. Empfehlung 1999/519/EG des Rates zur Begrenzung der Exposition der Bevölkerung gegenüber elektromagnetischen Feldern (0 Hz bis 300 GHz),
  11. Grenzwerte und Vorsorgemaßnahmen zum Schutz der Bevölkerung vor elektromagnetischen Feldern (Empfehlung der Strahlenschutzkommission vom 13./14. September 2001).

Die genannten Verwaltungsvorschriften und Regelwerke sind mit Ausnahme der unter den Buchstaben d und g genannten in ihrer jeweils geltenden Fassung anzuwenden.

(8) Das Landes-Immissionsschutzgesetz Berlin lässt folgende Schutzzeitenregelungen in anderen Rechts- und Verwaltungsvorschriften unberührt:

  1. Sportanlagenlärmschutzverordnung 18. BImSchV

    Hinsichtlich der Ruhezeit an Sonn- und Feiertagen von 13 bis 15 Uhr ist § 2 Absatz 5 der 18. BImSchV zu beachten.

  2. Geräte- und Maschinenlärmschutzverordnung - 32. BImSchV
    Verbot zur Benutzung bestimmter Geräte und Maschinen in Wohngebieten in der Zeit von 20 bis 7 Uhr sowie für Freischneider, Grastrimmer/Graskantenschneider, Laubbläser und Laubsammler zusätzlich in der Zeit von 7 bis 9, 13 bis 15 und 17 bis 20 Uhr gemäß § 7 Absatz 1 der 32. BImSchV.
  3. Technische Anleitung zum Schutz gegen Lärm - Ta Lärm
    Zuschlag für Tageszeiten mit erhöhter Empfindlichkeit gemäß Nummer 6.5 Ta Lärm
  4. Allgemeine Verwaltungsvorschrift zum Schutz gegen Baulärm (Geräuschimmissionen)

2. Zu § 2 - Immissionsschutzpflichten

(1) § 2 Absatz 1 LImSchG Bln stellt eine Verhaltensregel auf, die von jedermann zu beachten ist. In dieser Bestimmung wird ein allgemeines Rücksichtnahmegebot formuliert. Bei einem Verstoß kann durch eine Anordnung nach § 12 LImSchG Bln der ordnungsgemäße Zustand wieder hergestellt werden. Hierbei ist der Grundsatz der Verhältnismäßigkeit strikt zu beachten.

(2) Die immissionsschutzrechtliche Verantwortlichkeit einer Anlagenbetreiberin beziehungsweise eines Anlagenbetreibers oder einer Person besteht gemäß § 2 Absatz 1 Satz 2 LImSchG Bln fort, wenn Dritte zur Verrichtung bestimmter Tätigkeiten bestellt werden. Dabei ist durch geeignete Maßnahmen dafür zu sorgen, dass sie die Bestimmungen dieses Gesetzes einhalten. Zu einer Verrichtung bestellt ist, wem von einem anderen eine Tätigkeit in dessen Einflussbereich allgemein oder konkret übertragen ist. Hierzu zählen insbesondere Arbeitnehmerinnen und Arbeitnehmer im Verhältnis zu ihrer Arbeitgeberin und ihrem Arbeitgeber sowie von einem Unternehmen beauftragte Subunternehmen. Die Vorschrift ist bei der Ahndung von Ordnungswidrigkeiten nach diesem Gesetz zu beachten.

Wer eine andere Person zu einer Verrichtung bestellt, rückt durch § 2 Absatz 1 Satz 2 LImSchG Bln in eine gesetzliche Garantenstellung ein und handelt gemäß § 8 des Gesetzes über Ordnungswidrigkeiten (OWiG) ordnungswidrig, wenn nicht für die Einhaltung der Bestimmungen des Gesetzes gesorgt und ein Tatbestand nach § 15 LImSchG Bln verwirklicht wird.

(3) § 2 Absatz 2 LImSchG Bln erfasst alle von Tieren ausgehenden Immissionen, insbesondere Lärm und Gerüche. Die Vorschrift unterscheidet nicht zwischen gewerblicher und nicht gewerblicher Tierhaltung. Bestimmungen zur landwirtschaftlichen Tierhaltung bleiben unberührt. Hierzu zählt insbesondere die Verordnung zum Schutz landwirtschaftlicher Nutztiere und anderer zur Erzeugung tierischer Produkte gehaltener Tiere bei ihrer Haltung vom 25. Oktober 2001. Die Erheblichkeit von Tierlärm muss bezogen auf den Einzelfall beurteilt werden. Dabei sind folgende Aspekte zu berücksichtigen:

  1. Art, Häufigkeit und Dauer der Geräuscheinwirkung,
  2. Umfeld, Gebietsausweisung und tatsächliche Gebietsnutzung,
  3. Art und Zahl der Tiere, Fremdartigkeit oder Üblichkeit des Geräusches,
  4. Grund der Tierhaltung,
  5. sachgemäßer Umgang und sachgemäße Beaufsichtigung der Tiere,
  6. naturschutzrechtliche und tierschutzrechtliche Belange.

Die Vorschriften der Ta Lärm können als Anhaltspunkt zur Beurteilung der Geräusche herangezogen werden.

(4) § 2 Absatz 3 LImSchG Bln erfasst vorwiegend den unnötigen Betrieb von lärm- oder abgaserzeugenden Motoren auf Privatgrundstücken und findet keine Anwendung bei verkehrsbedingten Immissionen, da hier § 30 StVO gilt. § 2 Absatz 3 LImSchG Bln greift sowohl bei verhaltensbedingten als auch bei anlagenbezogenen Immissionen. Unnötig ist der Betrieb in der Regel, wenn das angetriebene Gerät nicht unmittelbar nach der Inbetriebnahme des Motors benutzt wird. Dies ist regelmäßig der Fall, wenn der Motor eines Kraftfahrzeuges gestartet wird, um danach zunächst die Scheiben zu reinigen oder wenn er nicht abgestellt wird, während die Fahrerin oder der Fahrer wartet. Das Laufen lassen von Schiffsdieselmotoren ist unnötig an Anlegeplätzen, an denen eine Energieentnahme aus dem Stromnetz möglich ist.

(5) Der Vorsorgegrundsatz wird durch § 2 Absatz 4 LImSchG Bln für nicht genehmigungsbedürftige Anlagen eingeführt. Ziel der Vorsorge ist es, dem Entstehen schädlicher Umwelteinwirkungen vorzubeugen. Sie richtet sich gegen potentiell schädliche Umwelteinwirkungen. Damit sind ordnungsbehördliche Maßnahmen nach § 12 LImSchG Bln bereits vor dem Erreichen der Erheblichkeitsschwelle möglich. Bei der Ermessensausübung ist der Grundsatz der Verhältnismäßigkeit strikt zu beachten. Vorsorgeanforderungen können durch Rechtsverordnung nach § 13 LImSchG Bln konkretisiert werden.

3. Zu § 3 - Schutz der Nachtruhe

(1) Die Nachtzeit von 22 bis 6 Uhr ist in besonderem Maße schutzwürdig. Wegen der besonderen Bedeutung der Nachtruhe verbietet § 3 LImSchG Bln alle Handlungen, durch welche die Nachtruhe gestört werden kann. Es genügt die hinreichende Wahrscheinlichkeit, dass die entsprechende Handlung zu einer Störung führt. Auf eine tatsächliche Störung der Nachtruhe kommt es nicht an.

(2) Ob eine Ruhestörung vorliegt, ist bei verhaltensbedingten Geräuschen nach dem Maßstab einer verständigen, durchschnittlich empfindlichen Person zu beurteilen. Beschreibt die Beschwerdeführerin oder der Beschwerdeführer glaubhaft ein Geräusch als Ursache für eine Aufwachreaktion, so ist wahrscheinlich, dass die Immissionsbegrenzungen in einschlägigen Regelwerken überschritten wurden. Die Ruhestörung kann durch Zeugenaussage bewiesen werden. Die Zeugenaussage ist im Rahmen der Beweiswürdigung nach den Umständen des Einzelfalls auf ihren objektiven Gehalt hin zu prüfen. Die Eigenschaften des Geräusches (zum Beispiel Lautstärke, Dauer, Informationshaltigkeit, Tonhaltigkeit, Lästigkeit) sind unter Einbeziehung der örtlichen Verhältnisse zu werten. Eine Schallpegelmessung ist in der Regel nicht erforderlich.

(3) Anlagenbedingte Geräuschimmissionen können anhand der Ergebnisse einer Schallpegelmessung (Immissionsmessung) oder einer auf der Basis von Emissionspegeln (Herstellerangaben oder ermittelt durch Messungen an einem Ersatzmessort beziehungsweise durch Emissionsmessungen) ausgeführten Ausbreitungsrechnung gemäß Nummer A.2.3 beziehungsweise A.2.4 der Ta Lärm und eines Vergleichs des so ermittelten Beurteilungspegels mit den in den einschlägigen Verwaltungsvorschriften niedergelegten Immissionsrichtwerten beurteilt werden. Diese sind wie folgt anzuwenden:

  1. die Ta Lärm im Rahmen des in Nummer 1 Ta Lärm festgelegten Anwendungsbereiches
    Die Ta Lärm kann auch zur Beurteilung von Schankvorgartenlärm als Orientierungsmaßstab angewendet werden. Eine Ruhestörung nach § 3 LImSchG Bln ist in der Regel anzunehmen, wenn der nach der Ta Lärm für die lauteste volle Nachtstunde ermittelte Beurteilungspegel den geltenden Immissionsrichtwert nach Nummer 6.1 oder 6.2 Ta Lärm überschreitet oder wenn einzelne kurzzeitige Geräuschspitzen die in den Nummern 6.1, 6.2 beziehungsweise 6.3 Ta Lärm gesetzten Grenzen nicht einhalten.
  2. die AVV Baulärm bei Geräuschen, die durch den Einsatz von Baumaschinen und baustellenbedingte Tätigkeiten auf Baustellen verursacht werden, nach Maßgabe dieser Ausführungsvorschriften
    Eine Ruhestörung im Sinne des § 3 LImSchG Bln ist in der Regel anzunehmen, wenn der nach der AVV Baulärm ermittelte Beurteilungspegel den geltenden Immissionsrichtwert nach Nummer 3.1.1 der AVV Baulärm überschreitet oder wenn einzelne kurzzeitige Geräuschspitzen die in Nummer 3.1.3 festgelegte Grenze überschreiten. Zur Ermittlung des Beurteilungspegels sollen die Anlagen 1, 2 und 3 der AVV Baulärm nicht angewendet werden. Hier sind logarithmische Berechnungsmethoden anzuwenden. Die Tabelle in Nummer 6.7.1 der AVV Baulärm zur Bestimmung der Zeitkorrekturen gilt unverändert.
    Maßgebend für die Beurteilung von Baulärm in der Nacht ist nach Nummer 3.1.2 der AVV Baulärm die Zeit von 20 bis 7 Uhr und nicht die Nachtzeit von 22 bis 6 Uhr nach § 3 LImSchG Bln. Dem entsprechend erstreckt sich der Tagzeitraum von 7 bis 20 Uhr. Für Geräusche, die durch Körperschallanregung innerhalb von Gebäuden entstehen, ist Nummer 6.2 Ta Lärm als Orientierung zur Beurteilung heranzuziehen.

Im häuslichen Bereich werden anlagenbedingte Immissionen in der Regel wie verhaltensbedingte Immissionen behandelt.

(4) Bei einer Überschreitung der in Absatz 3 angeführten Immissionsrichtwerte muss die Verwaltungsbehörde prüfen, ob Maßnahmen nach den § § 24 oder 25 BImSchG geboten sind und/oder eine Ahndung als Ordnungswidrigkeit in Betracht kommt. Die Ahndung einer Überschreitung der Immissionsrichtwerte nach Absatz 3 Buchstabe b werktags in der Zeit von 6 bis 7 und 20 bis 22 Uhr auf der Grundlage des Landes-Immissionsschutzgesetzes Berlin ist ausgeschlossen, da es an einem Bußgeldtatbestand im Gesetz fehlt. Sie kann in diesen Zeiten nach § 117 OWiG erfolgen. Ruhestörungen in der Zeit der Nachtruhe nach § 3 LImSchG Bln können nach § 15 LImSchG Bln geahndet werden.

(5) Der Betrieb einer im Anhang zur Geräte- und Maschinenlärmschutzverordnung aufgelisteten Anlage während der Nachtzeit nach § 3 LImSchG Bln in einem allgemeinen Wohngebiet oder einem schützwürdigeren Gebiet stellt eine Ruhestörung im Sinne des § 3 LImSchG Bln dar. Eine solche Ruhestörung erfüllt sowohl den Tatbestand des § 15 Absatz 1 Nummer 3 LImSchG Bln als auch den des § 9 Absatz 2 Nummer 1 der 32. BImSchV, so dass Tateinheit ( § 19 OWiG) vorliegt.

4. Zu § 4 - Schutz der Sonn- und Feiertagsruhe

(1) Die Sonn- und Feiertagesruhe im Sinne des Landes-Immissionsschutzgesetzes Berlin gilt in der Zeit von 6 bis 22 Uhr. In dieser Zeit ist es verboten, Lärm zu verursachen, durch den jemand in seiner Ruhe erheblich gestört wird. Hiervon unabhängig zu beurteilen ist jedoch jeweils die Zulässigkeit von Handlungen oder Veranstaltungen an Sonn- und Feiertagen nach den Vorschriften des allgemeinen Sonn- und Feiertagsschutzesrechts (vergleiche zum Beispiel Feiertagsschutz-Verordnung vom 5. Oktober 2004). Aus der konkreten immissionsschutzrechlichen Zulässigkeit oder Unzulässigkeit einer Betätigung können daher keine Rückschlüsse auf eine Vereinbarkeit mit dem allgemeinen Sonn- und Feiertagsschutzrecht gezogen werden.

(2) Ob eine erhebliche Ruhestörung vorliegt, ist bei verhaltensbedingten Geräuschen anhand der Umstände des Einzelfalls zu beurteilen. Die Eigenschaften des Geräusches (zum Beispiel Lautstärke, Dauer, Informations-, Ton-, Impulshaltigkeit) sind unter Einbeziehung von Zeugenaussagen sowie der örtlichen Verhältnisse abzuschätzen. Eine Abschätzung der Lautstäre (Pegelhöhe) kann anhand von Vergleichen mit Geräuschen bekannter Pegelhöhe erfolgen. Zum Beispiel:

Eine Abschätzung der Lautstäre (Pegelhöhe) kann weiterhin durch das Erfragen der Empfangsbedingungen erfolgen. Zum Beispiel:

Die Beurteilung und Bewertung der so abgeschätzten Beurteilungs- oder Maximalpegel ist unter Hinzuziehung der jeweils anzuwendenden Regelwerke wie Ta Lärm, Sportanlagenlärmschutzverordnung, Freizeitlärmrichtlinie usw. vorzunehmen.

(3) Anlagenbedingte Geräuschimmissionen können anhand einer Immissionsmessung oder auf der Basis von Emissionspegeln mit anschließender Ausbreitungsrechnung und eines Vergleiches des Beurteilungspegels mit den in den einschlägigen Verwaltungsvorschriften niedergelegten Immissionsrichtwerten beurteilt werden. Diese sind wie folgt anzuwenden:

  1. die Ta Lärm im Rahmen ihres in Nummer 1 Ta Lärm festgelegten Anwendungsbereiches
    Die Ta Lärm kann auch zur Beurteilung von Schankvorgartenlärm angewendet werden. Eine Ruhestörung im Sinne des § 4 LImSchG Bln ist in der Regel anzunehmen, wenn der maßgebliche Immissionsrichtwert durch den Beurteilungspegel überschritten wird oder wenn einzelne kurzzeitige Geräuschspitzen die in den Nummern 6.1 oder 6.2 Ta Lärm gesetzten Grenzen nicht einhalten.
  2. die AVV Baulärm bei Geräuschen, die durch den Einsatz von Baumaschinen und baustellenbedingten Tätigkeiten auf Baustellen verursacht werden, nach der Maßgabe dieser Ausführungsvorschriften
    Zur Ermittlung des Beurteilungspegels sollen die Anlagen 1, 2 und 3 der AVV Baulärm nicht angewendet werden. Hier sind logarithmische Berechnungsmethoden anzuwenden. Die Tabelle in Nummer 6.7.1 der AVV Baulärm zur Bestimmung der Zeitkorrekturen gilt unverändert. Bei der Berechnung des Beurteilungspegels für die Tageszeit nach AVV Baulärm (7 bis 20 Uhr) ist analog Nummer 6.5 Ta Lärm der Zuschlag für Tageszeiten mit erhöhter Empfindlichkeit anzuwenden.

Im häuslichen Bereich werden anlagenbedingte Immissionen in der Regel wie verhaltensbedingte Immissionen behandelt.

(4) Bei einer Überschreitung der in Absatz 3 angeführten Immissionswerte muss die Verwaltungsbehörde prüfen, ob Maßnahmen nach den § § 24 oder 25 BImSchG geboten sind und/oder eine Ahndung als Ordnungswidrigkeit in Betracht kommt.

5. Zu § 5 - Tonwiedergabegeräte und Musikinstrumente

(1) Tonwiedergabegeräte sind technische Geräte, die der Erzeugung oder der Wiedergabe von Schall dienen (zum Beispiel Radios, Fernsehgeräte, Verstärker, Abspielgeräte für Tonträger, Megaphone, Lautsprecher, mit Druckgas betriebene Fanfaren und Signalhörner). Sie sind nicht genehmigungsbedürftige Anlagen im Sinne des Bundes-Immissionsschutzgesetzes.

(2) Geräusche von Musikinstrumenten, die ohne elektroakustische Verstärkung betrieben werden, sind in der Regel verhaltensbedingt. Geräusche von Tonwiedergabegeräten und von elektroakustisch verstärkten Musikinstrumenten im häuslichen Bereich werden in der Regel wie verhaltensbedingte Geräusche behandelt. Zur Beurteilung der Erheblichkeit gelten die Ausführungen unter Nummer 3 Absatz 2 und unter Nummer 4 Absatz 2 dieser Ausführungsvorschriften. Werden Musikinstrumente elektroakustisch verstärkt und nicht im häuslichen Bereich eingesetzt oder werden sie im Zusammenhang mit einer nicht genehmigungsbedürftigen Anlage eingesetzt, so sind die von ihnen ausgehenden Geräusche anlagenbedingt und nach Absatz 3 zu bewerten.

(3) Zur Beurteilung der Geräusche von Tonwiedergabegeräten und Musikinstrumenten, die nicht genehmigungsbedürftige Anlagen sind oder im Zusammenhang mit dem Betrieb einer nicht genehmigungsbedürftigen Anlage eingesetzt werden, ist Nummer 6 dieser Ausführungsvorschriften anzuwenden. Soweit Tonwiedergabegeräte und Musikinstrumente bei öffentlichen Veranstaltungen im Freien benutzt werden, gilt die Veranstaltungslärm-Verordnung.

6. Beurteilung von Geräuschen, die von Freizeitanlagen ausgehen

(1) Freizeitanlagen sind Einrichtungen im Sinne des § 3 Absatz 5 Nummer 1 oder 3 BImSchG, die dazu bestimmt sind, von Personen zur Gestaltung ihrer Freizeit genutzt zu werden. Grundstücke gehören auch zu den Freizeitanlagen, wenn sie nur befristet zur Freizeitgestaltung genutzt werden. Es können auch Grundstücke sein, die sonst zum Beispiel der Sportausübung oder dem Straßenverkehr dienen. Zu den Freizeitanlagen gehören insbesondere

  1. Grundstücke und ortsfeste Einrichtungen, auf denen in Zelten oder im Freien Tanz- oder Diskothekenveranstaltungen, Musikdarbietungen, Volksfeste oder Ähnliches stattfinden,
  2. Spielhallen,
  3. Bolzplätze, Kunsteisbahnen, Skateboardanlagen und ähnlich genutzte Plätze,
  4. Freilichtbühnen,
  5. Autokinos,
  6. Freizeit- oder Vergnügungsparks, Kletterparks,
  7. Sonderflächen für Freizeitaktivitäten (zum Beispiel Grillplätze),
  8. Badeplätze,
  9. Erlebnisbäder (auch in Verbindung mit Hallenbädern als Außenanlage),
  10. Anlagen für Modellfahrzeuge, Wasserflächen für Schiffsmodelle,
  11. Zirkusse,
  12. Hundedressurplätze,
  13. Rodelbahnen.

Sportanlagen sind keine Freizeitanlagen, soweit sie für die Sportausübung genutzt werden. Ebenso gehören Gaststätten nicht zu den Freizeitanlagen.

(2) Für die Beurteilung und Bewertung der Geräuschimmissionen von Freizeitanlagen gilt die Freizeitlärm-Richtlinie (Anlage 1). Durch menschliches Verhalten hervorgerufene, dem Anlagenbetrieb nicht zurechenbare Geräuschereignisse (Freizeitbetätigungen im Wohnbereich und in der freien Natur, zum Beispiel Partys, Musikspielen) sind nicht nach dieser Richtlinie, sondern als verhaltensbedingter Lärm zu beurteilen. Soweit auf Freizeitanlagen öffentliche Veranstaltungen im Freien durchgeführt werden, ist die Veranstaltungslärm-Verordnung anzuwenden. Nummer 8 dieser Ausführungsvorschriften ist zu beachten.

(3) Geräusche durch spielende Kinder sind grundsätzlich sozial adäquat. § 22 Absatz 1a Satz 2 BImSchG ist zu beachten. Dies schließt Maßnahmen zur Immissionsreduzierung nicht aus. Kinderspielplätze sind grundsätzlich keine Freizeitanlagen.

(4) Bei Bolzplätzen handelt es sich meist um kleinräumige Anlagen, die typischerweise für Ballspiele genutzt werden und in der Regel kleiner sind, als dem Vereinssport dienende Ballspielplätze. Ihre Benutzung ist dadurch gekennzeichnet, dass auf ihnen regelmäßig unorganisiert körperlichspielerische Aktivitäten ohne nennenswerte Beteiligung von Publikum, Schiedsrichterinnen beziehungsweise Schiedsrichtern oder Sportaufsicht stattfinden. Soweit Bolzplätze durch Kinder benutzt werden, ist § 22 Absatz 1a BImSchG zu beachten.

(5) Die Benutzung von Anlagen nach Nummer 6 Absatz 1 Buchstabe c in der Zeit von 8 bis 20 Uhr an Werktagen und in der Zeit von 9 bis 13 und 15 bis 20 Uhr an Sonn- und Feiertagen ist regelmäßig sozial adäquat, wenn sichergestellt ist, dass sie dem Stand der Technik gemäß § 22 Absatz 1 BImSchG entsprechen. Bei Geräuschen durch die menschliche Stimme ist, soweit sie nicht technisch verstärkt sind, kein Zuschlag KI anzuwenden.

(6) Bei der Standortwahl und der Errichtung von Anlagen nach Nummer 6 Absatz 1 Buchstabe c soll die Einhaltung der Immissionsrichtwerte nach Nummer 4.1 der Freizeitlärm-Richtlinie außerhalb der Ruhezeiten angestrebt werden.

(7) Bei Anlagen nach Nummer 6 Absatz 1 Buchstabe c, die vor dem Inkrafttreten dieser Verwaltungsvorschriften errichtet wurden, soll die zuständige Behörde von einer Festsetzung von Betriebszeiten absehen, wenn die Immissionsrichtwerte nach Nummer 4.1 Freizeitlärm-Richtlinie, mit Ausnahme der unter Buchstabe f genannten Gebiete, um weniger als 5 dB überschritten werden.

7. Zu § 6 - Einschränkungen

(1) Geräusche, die von Kindern ausgehen, sind natürlicher Bestandteil eines kinderfreundlichen Lebensumfeldes und zur Erhaltung kindgerechter Entwicklungsmöglichkeiten gemäß § 6 Absatz 1 LImSchG Bln grundsätzlich zu tolerieren. Dies gilt auch, wenn sie im Einzelfall als störend wahrgenommen werden. In § 6 Absatz 1 LImSchG Bln wird insofern ein normativer Abwägungsmaßstab aufgestellt. Bei der Anwendung dieser Vorschrift ist zu berücksichtigten, dass die Nachtzeit besonders schutzwürdig ist und in dieser Zeit den berechtigten Ruheschutzinteressen von Dritten grundsätzlich eine höhere Bedeutung zukommt, als in der Tageszeit. Die in § 6 Absatz 1 LImSchG Bln getroffene Bestimmung entbindet Erziehungsberechtigte und andere, mit der Aufsicht von Kindern betraute Personen nicht davon, darauf hinzuwirken, dass Kinder entsprechend der ihnen altersbedingt möglichen Einsichtsfähigkeit Rücksicht auf die Belange dritter Personen nehmen. Für die Geräuscheinwirkungen, die von Kindern bei der Benutzung von nicht genehmigungsbedürftigen Anlagen verursacht werden (zum Beispiel Kindertageseinrichtungen, Kinderspielplätze, Ballspielplätze) gilt § 22 Absatz 1a BImSchG. Kinder im Sinne des Gesetzes sind Menschen bis zur Vollendung ihres 14. Lebensjahrs.

(2) Die Schutzvorschriften der § § 3 und 4 LImSchG Bln gelten nicht für die Nutzung von Kirchenglocken zum Zweck der Religionsausübung. Hierunter fällt das Läuten der Glocken christlicher Kirchen aus liturgischen Gründen, nicht jedoch das Zeitschlagen. Die Ausnahme des § 6 Absatz 2 Nummer 1 LImSchG Bln ist ebenso bei der Religionsausübung anderer Religionsgemeinschaften im Schutzbereich des Artikels 4 GG anzuwenden.

(3) Für Maßnahmen zur Verhütung und Beseitigung einer Notlage gelten die Schutzvorschriften der § § 3 und 4 LImSchG Bln nicht. Es kommen nur solche Maßnahmen in Betracht, deren Ausführung keinen Aufschub duldet und die zur Abwehr einer Gefahr für die öffentliche Sicherheit oder Ordnung in den Schutzzeiten der § § 3 oder 4 LImSchG Bln erfolgen müssen.

(4) Die Winterglätte- und Schneebekämpfung hat Vorrang vor den Schutzvorschriften der § § 3 und 4 LImSchG Bln. Maschinen müssen dem Stand der Technik entsprechen und so rücksichtsvoll wie möglich eingesetzt werden. Ferner sind die Bestimmungen der Geräte- und Maschinenlärmschutzverordnung zu beachten. Gemäß § 7 Absatz 2 Satz 2 der 32. BImSchV dürfen Geräte und Maschinen zur Abwehr einer Gefahr bei Unwetter oder Schneefall ohne vorherige Ausnahmezulassung nach § 7 Absatz 2 Satz 1 der 32. BImSchV eingesetzt werden.

(5) Landwirtschaftliche Betriebe im Sinne von § 6 Absatz 1 Nummer 4 LImSchG Bln sind Betriebe der Land- und Forstwirtschaft sowie Betriebe für den erwerbsgärtnerischen Obst-, Gemüse- und Zierpflanzenbau. § 6 Absatz 2 Nummer 4 LImSchG Bln gilt nicht für Haus- und Kleingärten.

(6) § 6 Absatz 2 LImSchG Bln schränkt die Betriebszeitenregelung des § 7 Absatz 1 Satz 1 der 32. BImSchV ein. Die vom Geltungsbereich der Geräte- und Maschinenlärmschutzverordnung erfassten Geräte und Maschinen dürfen auf Landesstraßen und nicht bundeseigenen Schienenwegen in den durch die Verordnung geschützten Gebieten auch in der Zeit werktags von 6 bis 7 und 20 bis 22 Uhr eingesetzt werden. Für Bundesfernstraßen und Schienenwege von Eisenbahnen des Bundes gelten die Betriebszeitenregelungen des § 7 Absatz 1 Satz 1 der 32. BImSchV gemäß Satz 2 derselben Vorschrift nicht.

(7) Der dritte Abschnitt der Geräte- und Maschinenlärmschutzverordnung ist auf rollbare Müllbehälter und Altglascontainer nicht anwendbar, da sie im technischen Sinn keine Geräte oder Maschinen sind.

8. Zu § § 7 und 11 - Öffentliche Veranstaltungen im Freien

(1) Von einer öffentlichen Veranstaltung im Freien sind in der Regel dann störende Geräusche für Dritte zu erwarten, wenn die Veranstaltung ein besonderes Störpotenzial im Sinne des § 5 Absatz 3 VeranstLärmVO aufweist, die Immissionsrichtwerte nach § 9 Absatz 1 oder 2 VeranstLärmVO überschritten werden oder die Geräuschimmissionen als störend im Sinne von § 9 Absatz 3 VeranstLärmVO zu bewerten sind.

(2) Eine Veranstaltung ist öffentlich, wenn sie für die Allgemeinheit zugänglich ist. Veranstaltungen in Zelten sind wie solche im Freien zu behandeln. Die Veranstaltungsstätte ist regelmäßig als Freizeitanlage anzusehen. Geräuschimmissionen durch Veranstaltungen gelten als anlagenbezogen.

(3) Öffentliche Veranstaltungen, von denen störende Geräusche für Dritte zu erwarten sind, können nach § 11 LImSchG Bln genehmigt werden (Genehmigung).

(4) Für die Durchführung von Veranstaltungen, die nicht öffentlich sind oder nicht im Freien stattfinden, kann für den Betrieb von Anlagen im Sinne von § 3 Absatz 5 BImSchG eine Ausnahme von den Bestimmungen der § § 3 bis 5 LImSchG Bln nach § 10 Absatz 1 LImSchG Bln zugelassen werden (Ausnahmezulassung). Die Zumutbarkeit der hierdurch verursachten Geräuschimmissionen wird nach der Veranstaltungslärm-Verordnung vorgenommen, soweit eine solche Veranstaltung mit öffentlichen Veranstaltungen im Freien vergleichbar ist ( § 2 Satz 2 VeranstLärmVO). Für die Erteilung der Ausnahmezulassung ist es erforderlich, dass zusätzlich zur Einhaltung der Bestimmungen der Veranstaltungslärm-Verordnung dem Vorhaben ein Vorrang gegenüber den Ruheschutzinteressen Dritter zukommt. Für Ausnahmezulassungen nach Satz 1 gelten die Absätze 5 bis 11 sinngemäß.

(5) Für die Antragstellung und die Durchführung des Genehmigungsverfahrens gilt Folgendes:

  1. Die Antragsfrist beträgt vier Wochen. Anträge sollen innerhalb von vier Wochen abschließend bearbeitet werden. Die Bearbeitungsfrist beginnt, wenn die Antragsunterlagen vollständig bei der Behörde vorliegen und die Bescheidung des Antrages rechtlich und tatsächlich möglich ist.
  2. Antragsteller ist grundsätzlich der Veranstalter. Er kann sich von einem Bevollmächtigten vertreten lassen.
  3. Der Antrag soll schriftlich oder elektronisch gestellt werden und folgende Angaben enthalten:
  4. Andere Behörden oder öffentliche Stellen sollen einbezogen werden, soweit sie von der Veranstaltung betroffen werden können.
  5. Bei Veranstaltungen, die in unmittelbarer Nähe zum Sitz von Verfassungsorganen durchgeführt werden sollen, sind diese nach den Vorschriften des Verwaltungsverfahrensgesetzes ( VwVfG) am Genehmigungsverfahren zu beteiligen.
  6. Sind für eine Veranstaltung mehrere Bezirksämter örtlich zuständig, ist § 3 Absatz 2 VwVfG zu beachten.

(6) Genehmigungen sind in der Regel mit Nebenbestimmungen ( § 36 VwVfG) zum Schutz der Allgemeinheit und der Nachbarschaft vor schädlichen Umwelteinwirkungen zu versehen. Als Nebenbestimmungen kommen insbesondere in Betracht:

  1. zeitliche Regelungen (zum Beispiel: Festsetzung des Beginns und Endes, Pausen, Verlegung besonders lärmintensiver Betätigungen in weniger schutzwürdige Zeiten),
  2. räumliche Regelungen (zum Beispiel: die Festlegung des Standortes bestimmter lautstarker Maschinen oder die Vorgabe, lautstarke Betätigungen an bestimmten Orten vorzunehmen oder zu unterlassen),
  3. technische und bauliche Regelungen (zum Beispiel: Begrenzung des Geräuschpegels durch einzuhaltende Immissionswerte oder die Begrenzung der Leistung von Beschallungsanlagen). Die Überprüfung der Einhaltung der zulässigen Immissionsrichtwerte kann ersatzweise durch Messungen an einem geeigneten Ersatzmessort erfolgen ("Emissions"-Wert/Referenzpegel),
  4. organisatorische Regelungen (zum Beispiel: Vorkehrungen zur Verhinderung vermeidbarer Geräusche; Benachrichtigung Betroffener über die Veranstaltung; Verpflichtung, einen Beauftragten zu benennen, der innerbetrieblich für die Einhaltung der Nebenbestimmungen verantwortlich ist und auftretende vermeidbare Ruhestörungen sofort an Ort und Stelle abstellen kann),
  5. Regelungen zu Auf- und Abbauarbeiten. Solche Regelungen sollen erfolgen, wenn dies erforderlich ist. Sie sollen sich auf arbeitsorganisatorische Maßnahmen beschränken. Soweit nicht zwingende verkehrliche oder zwingende organisatorische Gründe vorliegen, soll die Behörde darauf hinwirken, dass geräuschintensive Auf- und Abbauarbeiten außerhalb der nach § 3 LImSchG Bln besonders geschützten Nachtzeit durchgeführt werden.
  6. Auflagenvorbehalt gemäß § 36 Absatz 2 Nummer 5 VwVfG.

(7) Genehmigungen können unter der aufschiebenden Bedingung erteilt werden, dass bestimmte Nachweise oder Bestätigungen anderer Behörden vorgelegt werden ( § 36 Absatz 2 Nummer 2 VwVfG).

(8) Die Gebührenerhebung richtet sich nach der Umweltschutzgebührenordnung.

(9) Genehmigungen sollen zur Gewährleistung der Einhaltung der vorgegebenen Immissionswerte oder Referenzpegel die Nebenbestimmung enthalten, dass Schallpegelbegrenzer verwendet oder Schallpegelmessungen durchgeführt werden. Für nicht oder wenig störende Veranstaltungen kann durch Nebenbestimmung festgelegt werden, dass Schallpegelbegrenzer zu verwenden sind oder Schallpegelmessungen durchgeführt werden müssen, wenn dies zur Gewährleistung der Einhaltung der vorgegebenen Immissionswerte oder Referenzpegel erforderlich ist.

(10) Bei Geräuschen von Kindern im Rahmen von Veranstaltungen sind § 22 Absatz 1a BImSchG und § 6 Absatz 1 LImSchG Bln zu beachten.

(11) Für die Durchführung von Veranstaltungen wird darauf hingewiesen, dass die Bundesärztekammer und die Kommission Soziakusis als Zielwert eine Begrenzung des äquivalenten Dauerschalldruckpegels bei Veranstaltungen und Diskotheken auf 95 dB(A) im lautesten Bereich gefordert haben. Eine Reduzierung der Schallpegel (Mittelungspegel über die Dauer der Veranstaltung) auf Werte unter 100 dB(A) im lautesten Bereich stellt bereits eine substanzielle Risikoverminderung für Gehörschäden dar. Die Anwendung der DIN 15905-5, Ausgabe November 2007, wird empfohlen.

9. Zu § 8 - Sonstige Immissionen

Die Betreiberpflichten des § 22 Absatz 1 Satz 1 BImSchG gelten auch in den Fällen des § 22 Absatz 1 Satz 3 BImSchG, soweit es sich um andere Immissionen als Lärm und Luftverunreinigungen handelt. Dies sind insbesondere Licht, Wärme, Erschütterungen und elektromagnetische Felder. Damit sind ordnungsbehördliche Maßnahmen zum Beispiel bei Lichtimmissionen, die durch den Betrieb nicht gewerblich betriebener Anlagen (öffentlich-rechtliche Trägerschaft, gemeinnützige Vereine oder private Baustellen) entstehen, auf der Grundlage des Landes-Immissionsschutzgesetzes Berlin möglich.

10. Zu § 9 - Begrenzung von Staubemissionen

(1) Die Bestimmung erfasst sowohl anlagenbedingte als auch verhaltensbedingte Staubemissionen. Dabei handelt es sich um Luftverunreinigungen im Sinne des Bundes-Immissionsschutzgesetzes. Diese sind aus Gründen des Umwelt- und Gesundheitsschutzes zu verhindern beziehungsweise auf ein Mindestmaß zu begrenzen.

(2) Als Maßnahmen kommen insbesondere in Betracht:

  1. Verwendung von Geräten, die über technische Einrichtungen zum Erfassen von Stäuben verfügen (zum Beispiel Holzbearbeitungsmaschinen mit Absaugvorrichtungen),
  2. Verwendung von Geräten, die über technische Einrichtungen zum Binden beziehungsweise Niederschlagen von Stäuben verfügen (zum Beispiel Steinsägen mit Befeuchtungseinrichtung für Nassschneideverfahren),
  3. geringe Abwurfhöhen, Befeuchtung staubender Schüttgüter beim Umschlag,
  4. Verwendung von geschlossenen Schuttrutschen, Verhüllung von Arbeitsbereichen mit geeigneten Planen oder Netzen bei Abbruch- und Entkernungsarbeiten,
  5. Lagerung staubender Güter in geschlossenen Containern oder Silos, Abdecken von Halden und Haufwerken mit geeigneten Folien,
  6. Verwendung von Reifenwaschanlagen an der Baufeldgrenze, Reduzierung der Geschwindigkeit von Baustellenfahrzeugen, Anfeuchten von Arbeitsbereichen beziehungsweise Flächen, Befeuchtung oder Asphaltierung von Fahrwegen bei größeren Baustellen,
  7. Einsatz von Sprühnebel zur Staubbindung,
  8. Sicherung der Ladung von Transportfahrzeugen gegen Abwehen durch Planen oder durch Verwendung geschlossener Gebinde (Container, "Big Bag"),
  9. Begrünung offener Flächen,
  10. Reinigung verschmutzter Arbeitsbereiche,
  11. Einhausung von Arbeitsbereichen und soweit erforderlich Bewetterung und Abluftreinigung.

Diese beispielhaften Maßnahmen können kombiniert werden. Die konkreten Maßnahmen sind unter Berücksichtigung der Menge und der Zusammensetzung der zu erwartenden Stäube (zum Beispiel Beinhalten von gefährlichen Stoffen im Sinne von § 3a des Chemikaliengesetzes), des betroffenen Personenkreises, der technischen Rahmenbedingungen (zum Beispiel Empfindlichkeit bestimmter Materialen gegenüber Befeuchtung) und der Belange des Arbeitsschutzes zu treffen.

(3) Bei einem Verstoß gegen die Bestimmungen des § 9 LImSchG Bln kommen Maßnahmen nach § 12 LImSchG Bln oder § § 24, 25 BImSchG in Betracht.

11. Zu § 10 - Ausnahmezulassungen

(1) Von den Verboten der § § 3 bis 5 LImSchG Bln kann als Ermessensentscheidung nach § 10 LImSchG Bln eine Befreiung als Ausnahmezulassung erteilt werden, wenn die Voraussetzungen des § 10 Absatz 12. Halbsatz LImSchG Bln vorliegen. Der Begriff des Betriebs in § 10 LImSchG Bln umfasst auch die Errichtung, die Änderung, die Stilllegung und die Beseitigung einer Anlage. Von § 10 LImSchG Bln werden alle Geräusche erfasst, die durch den Anlagenbetrieb verursacht werden. Hierzu zählen auch die verhaltensbedingten Geräusche, die im Zusammenhang mit der Benutzung der Anlage entstehen. Familienfeiern und private Feste unterfallen nicht dem Regelungsbereich des § 10 Absatz 1 LImSchG Bln. Die Beurteilung der Geräuschimmissionen erfolgt auf der Grundlage des jeweils für die Art der Geräusche sachnahen Regelwerks. Soweit Ausnahmezulassungen für Veranstaltungen erteilt werden, ist Nummer 8 dieser Ausführungsvorschriften zu beachten.

(2) Eine unbedeutende Störung im Sinne des § 10 Absatz 1 LImSchG Bln liegt grundsätzlich vor, wenn der Beurteilungspegel den geltenden gebietsbezogenen Immissionsrichtwert in der Regel um nicht mehr als 3 dB(A), bei Baulärm um nicht mehr als 5 dB(A), überschreitet und die Überschreitung nur von kurzer Dauer ist. Höhere Richtwertüberschreitungen können nach den besonderen Umständen des Einzelfalles (zum Beispiel Nutzungsart des betroffenen Gebäudes, Fremdgeräusche, Billigung des Vorhabens durch die Anwohnerinnen und Anwohner) unbedeutend sein. Eine unbedeutende Störung liegt in der Regel vor, wenn der kontinuierliche Fremdgeräuschpegel (95-%-Überschreitungspegel) an der betroffenen schutzwürdigen Nutzung höher ist als der Beurteilungspegel, der durch das Vorhaben zu erwarten ist.

(3) Bei der Prüfung, ob das Vorhaben im Einzelfall Vorrang vor den Ruheschutzinteressen dritter Personen hat, müssen die Interessen der Anwohnerinnen und Anwohner auf Lärmschutz, die besonderen Bedürfnisse der Antragstellerin oder des Antragstellers an der Durchführung des Vorhabens und das öffentliche Interesse unter Beachtung des Grundsatzes der Gleichbehandlung ähnlicher Fälle sachgerecht abgewogen werden. Insbesondere wenn das Vorhaben zu erheblichen Störungen der Nachtruhe führen kann, ist ein strenger Maßstab anzuwenden und darauf hinzuwirken, dass lautstarke Betätigungen durch organisatorische Maßnahmen auf die weniger schutzbedürftigen Zeiten verlegt werden. Schutzwürdige Belange dritter Personen, die bei der Abwägung nach § 10 LImSchG Bln berücksichtigt werden müssen, können insbesondere sein:

  1. das allgemeine Ruhebedürfnis während der durch die § § 3 und 4 LImSchG Bln geschützten Zeiten,
  2. das besondere Ruhebedürfnis von kranken oder älteren Personen sowie von Kindern in schutzwürdigen Einrichtungen (zum Beispiel Krankenanstalten, Senioren- und Pflegeheime, Kinderbetreuungseinrichtungen und Schulen),
  3. das Ruhebedürfnis von Gläubigen während des Gottesdienstes oder sonstiger religiöser Handlungen,
  4. Einrichtungen und Tätigkeiten, die ein erhöhtes Lärmschutzbedürfnis haben (zum Beispiel Arztpraxen, Lehranstalten, Musik- und Sprechtheater).

Für nicht genehmigungsbedürftige Anlagen, die nach Nummer 7.2 Ta Lärm nur in seltenen Fällen oder über eine begrenzte Zeitdauer Überschreitungen der Immissionsrichtwerte nach Nummer 6.1 Ta Lärm verursachen, können in der Regel Ausnahmen nach § 10 Absatz 1 LImSchG Bln zugelassen werden, wenn die Immissionsrichtwerte für seltene Ereignisse nach Nummer 6.3 Ta Lärm eingehalten werden und der Stand der Technik eingehalten wird.

(4) Der § 10 Absatz 2 LImSchG Bln erweitert gegenüber § 10 Absatz 1 LImSchG Bln den Ermessensrahmen, der bei Zulassung einer Ausnahme für den Betrieb eines Schankvorgartens zu beachten ist.

  1. Bei der Beurteilung von Geräuschimmissionen, die durch Schankvorgärten verursacht werden, kann die Ta Lärm als Orientierungsmaßstab herangezogen werden.
  2. Eine Ausnahme von den Verboten der § § 3 und 4 LImSchG Bln ist zum Beispiel erforderlich, wenn wegen der Lage oder betrieblicher Besonderheiten in der Umgebung erhebliche Belästigungen auftreten können. Diese sind in der Regel zu erwarten, wenn nachts die Richtwerte der Ta Lärm überschritten werden und keine Überdeckung der Gaststättengeräusche gemäß Nummer 3.2.1 der Ta Lärm vorliegt. Anzeichen für das Vorliegen erheblicher Belästigungen können unter anderem berechtigte Beschwerden sein. Eine Ausnahme kann im Regelfall bis 23 Uhr sowie an Freitagen und Sonnabenden bis 24 Uhr zugelassen werden, sofern nicht besondere Umstände bekannt sind, die für die Anwohnerinnen und Anwohner Beeinträchtigungen in unvertretbarem Umfang oder besondere Belastungen für schutzbedürftige Einrichtungen (zum Beispiel Krankenhäuser) erwarten lassen.
  3. Sind bei einem Ausnahmeantrag Konflikte zu erwarten, kann das Bezirksamt einen Nachbarschaftsdialog zwischen den Anwohnerinnen und Anwohnern und der Gaststättenbetreiberin beziehungsweise dem Gaststättenbetreiber initiieren. Sind mehrere Gaststätten berührt, sollen alle Gaststättenbetreiberinnen und Gaststättenbetreiber in den Prozess einbezogen werden. Die Industrie- und Handelskammer zu Berlin sowie die Hotel- und Gaststätten-Innung Berlin können ebenfalls einbezogen werden. § 28 VwVfG bleibt unberührt.
  4. Eine Ausnahmezulassung nach § 10 Absatz 2 LImSchG Bln entfällt, wenn eine abschließende gaststättenrechtliche Regelung zum Lärmschutz getroffen worden ist.

(5) Bei der Durchführung des Verwaltungsverfahrens nach § 10 Absatz 1 LImSchG Bln ist Folgendes zu beachten:

  1. Die Antragsfrist beträgt vier Wochen. Anträge sollen innerhalb von vier Wochen abschließend bearbeitet werden. Die Bearbeitungsfrist beginnt, wenn die Antragsunterlagen vollständig bei der Behörde vorliegen und die Bescheidung des Antrages rechtlich und tatsächlich möglich ist.
  2. Die Antragstellerin oder der Antragsteller kann sich durch einen Bevollmächtigten oder eine Bevollmächtigte vertreten lassen.
  3. Der Antrag soll schriftlich oder elektronisch gestellt werden und folgende Angaben enthalten:
    aa) Beschreibung des Vorhabens einschließlich Ort, Zeit und Dauer,
    bb) Begründung der Notwendigkeit des Vorhabens in den Schutzzeiten der § § 3 und 4 LImSchG Bln,
    cc) Auflistung der Lärmquellen und ihrer Anordnung sowie Angaben hinsichtlich Art, Leistung, Hersteller und Baujahr derjeweiligen Maschinen und Geräte (bei Bau- und Gewerbelärm: Angaben zur Geräuschemission der Maschinen und zum Stand der Technik),
    dd) Beschreibung der Lärmschutzmaßnahmen,
    ee) Name, Anschriftund Telefon-/Telefax-Nummer/E-Mail-Adresse des oder der Verantwortlichen.
  4. Soweit andere Behörden oder öffentliche Stellen betroffen werden können, ist zu prüfen, ob diese zu beteiligen sind. Dies gilt insbesondere für Vorhaben, die in unmittelbarer Nähe zu den Verfassungsorganen durchgeführt werden.
  5. Sind für ein Vorhaben mehrere Bezirksämter örtlich zuständig, ist § 3 Absatz 2 VwVfG zu beachten.

(6) Die Ausnahmezulassung ist gemäß § 10 Absatz 3 LImSchG Bln in der Regel mit Nebenbestimmungen ( § 36 VwVfG) zum Schutz der Allgemeinheit und der Nachbarschaft vor schädlichen Umwelteinwirkungen zu erteilen. Als Nebenbestimmungen kommen insbesondere in Betracht:

  1. zeitliche Regelungen (zum Beispiel Festsetzung des Beginns und Endes, Pausen, Verlegung besonders lärmintensiver Betätigungen in weniger schutzwürdige Zeiten),
  2. örtliche Regelungen (zum Beispiel die Vorgabe, bestimmte lautstarke Maschinen, Geräte beziehungsweise Betätigungen an bestimmten Orten einzusetzen beziehungsweise vorzunehmen),
  3. technische Regelungen (zum Beispiel Begrenzung des Geräuschpegels durch einzuhaltende Immissionswerte oder die Begrenzung der Leistung von Anlagen, Verbot des Einsatzes lärmintensiver Maschinen und Geräte, Verpflichtung zum Einsatz lärmarmer Baumaschinen und -verfahren, Verpflichtung zur Einhausung von Geräten und Maschinen). Die Überprüfung der Einhaltung der zulässigen Immissionswerte kann durch Immissionsmessungen oder Messungen an einem Ersatzmessort mit anschließender Ausbreitungsrechnung erfolgen,
  4. betriebsorganisatorische Regelungen (zum Beispiel Vorkehrungen zur Verhinderung vermeidbarer Geräusche; Benachrichtigung des betroffenen Personenkreises über das zugelassene Vorhaben; Einteilung des Arbeitsablaufs im Hinblick auf schutzwürdige Zeiten; Verpflichtung, einen Beauftragten zu benennen, der für die Einhaltung der Nebenbestimmungen verantwortlich ist und auftretende vermeidbare Ruhestörungen sofort an Ort und Stelle abstellen kann),
  5. besondere Regelungen für Schankvorgärten (zum Beispiel Aufforderung an die Gäste durch deutliche erkennbare schriftliche Hinweise, lautes Sprechen, Singen, Musizieren und sonstigen verhaltensbedingten Lärm zu unterlassen; Verbot des nächtlichen Betriebs von Beschallungsanlagen, Benennung einer oder eines Verantwortlichen, der oder die Beschwerden entgegennimmt, ihnen nachgeht und die Gäste zur Ruhe ermahnt; Unterlassung von lärmintensiven Arbeiten im Außenbereich wie Zusammenstellen und Sichern des Mobiliars nach Ende der zugelassenen Betriebszeit).
  6. Ausnahmezulassungen können unter der aufschiebenden Bedingung erteilt werden, dass bestimmte Nachweise oder Bestätigungen anderer Behörden vorgelegt werden ( § 36 Absatz 2 Nummer 2 VwVfG).

(7) Die Gebührenerhebung richtet sich nach der Umweltschutzgebührenordnung.

12. Zu § 12 - Anordnungen im Einzelfall

(1) § 12 LImSchG Bln ist die Eingriffsermächtigung für Anordnungen zur Abwehr von verhaltensbedingten Immissionen (§ § 2 bis 9 LImSchG Bln). Für nicht genehmigungsbedürftige Anlagen ist § 24 BImSchG vorrangig. Eine Anordnung nach § 12 LImSchG Bln kann alle Anforderungen stellen, die geeignet und erforderlich sind, um die Einhaltung der Vorschriften des Landes-Immissionsschutzgesetzes Berlin und der auf das Gesetz gestützten Rechtsverordnungen im Einzelfall zu gewährleisten. Mit Anordnungen nach § 12 LImSchG Bln können auch Vorsorgeanforderungen an nicht genehmigungsbedürftige Anlagen gestellt werden. Es können keine Anforderungen gestellt werden, die im Einzelfall die im Gesetz und in den Rechts- und Verwaltungsvorschriften sowie in den technischen Regelwerken festgelegten Schutzstandards verringern. Eine Anordnung zur Ermittlung von Immissionen und Emissionen für nicht genehmigungsbedürftige Anlagen kann auf § 12 LImSchG Bln nicht gestützt werden, da § 26 ff. BImSchG in diesen Fällen Vorrang haben. Ebenso ist für nicht genehmigungsbedürftige Anlagen § 25 BImSchG beim Vorliegen der dort aufgeführten Tatbestandsvoraussetzungen vorrangig.

(2) Adressat einer Anordnung nach § 12 LImSchG Bln kann jede natürliche oder juristische Person sein, die den Vorschriften des Landes-Immissionsschutzgesetzes Berlin und der auf das Gesetz gestützten Rechtsverordnungen zuwiderhandelt oder für deren Einhaltungen einzustehen hat.

13. Hinweise zur Ahndung von Ordnungswidrigkeiten

(1) Diese Hinweise sind bei der Ahndung von Ordnungswidrigkeiten nach § 15 Absatz 1 LImSchG Bln anzuwenden. Die ausgewiesenen Geldbußen sind Regel- und Rahmensätze für vorsätzliche Zuwiderhandlungen. Bei fahrlässigen Zuwiderhandlungen ist die Geldbuße zu halbieren.

(2) Die Regel- und Rahmensätze können nach den Grundsätzen des § 17 Absatz 3 OWiG je nach den Umständen des Einzelfalls erhöht oder ermäßigt werden. Eine Erhöhung der Geldbuße kommt insbesondere in Betracht, wenn das Ausmaß der Umweltbeeinträchtigungen nach den Umständen des Falls ungewöhnlich groß ist. Sie kommt auch in Betracht, wenn sich die Täterin beziehungsweise der Täter uneinsichtig zeigt, bereits einmal wegen einer gleichartigen Ordnungswidrigkeit in den letzten drei Jahren mit einer Geldbuße belegt oder verwarnt worden ist, die Ordnungswidrigkeit im Zusammenhang mit der Ausübung eines Berufes oder eines Gewerbes begangen hat oder in guten wirtschaftlichen Verhältnissen lebt. Eine Ermäßigung der Geldbuße kommt in Betracht, wenn das Ausmaß der Umweltbeeinträchtigung nach den Umständen des Falls ungewöhnlich klein ist. Sie kommt auch in Betracht, wenn der Vorwurf, der die Täterin beziehungsweise den Täter trifft, aus besonderen Gründen des Falls geringer als für durchschnittlich vorwerfbares Handeln erscheint, wenn Einsicht gezeigt wird, die in Frage kommende Geldbuße zu einer unzumutbaren Belastung führt oder die wirtschaftlichen Verhältnisse der Täterin beziehungsweise des Täters außergewöhnlich schlecht sind.

(3) Für die Ahndung von Ordnungswidrigkeiten nach § 15 Absatz 1 LImSchG Bln sollen folgende Regel- und Rahmensätze angewendet werden:

Laufende
Nummer
Tatbestand Rechtsvorschriften Geldbuße
(Euro)
a) gewerblich b) nicht gewerblich
1 Halten eines Tieres außerhalb landwirtschaftlicher Tierhaltungen in der Weise, dass jemand durch die Immissionen (Lärm oder Gerüche) erheblich belästigt wird § 2 Absatz 2 in Verbindung mit § 15 Absatz 1 Nummer 1 LImSchG Bln 100 bis 1000 40 bis 400
2 unnötiges Betreiben eines lärm- oder abgaserzeugenden Motors (außerhalb von öffentlichem Straßenland) § 2 Absatz 3 in Verbindung mit § 15 Absatz 1 Nummer 2 LImSchG Bln 100 bis 1000 40 bis 400
3 Verursachung von Lärm, durch den jemand in seiner Nachtruhe gestört werden kann, ohne zugelassene Ausnahme oder Genehmigung § 3 in Verbindung mit § 15 Absatz 1 Nummer 3 LImSchG Bln 100 bis 5000 50 bis 2500
4 Verursachung von Lärm an Sonn- und Feiertagen, durch den jemand in seiner Ruhe erheblich gestört wird, ohne zugelassene Ausnahme oder Genehmigung § 4 in Verbindung mit § 15 Absatz 1 Nummer 4 LImSchG Bln 80 bis 4000 40 bis 2000
5 Benutzung eines Tonwiedergabegerätes oder Musikinstrumentes mit einer Lautstärke, durch die jemand erheblich gestört wird, ohne zugelassene Ausnahme oder Genehmigung § 5 in Verbindung mit § 15 Absatz 1 Nummer 5 LImSchG Bln 80 bis 4000 40 bis 2000
6 Durchführung einer öffentlichen Veranstaltung im Freien ohne Genehmigung § 7 Absatz 1 in Verbindung mit § 15 Absatz 1 Nummer 6 LImSchG Bln 100 bis 5000 50 bis 2500
7 Zuwiderhandlung gegen eine vollziehbare Auflage oder nicht rechtzeitige oder nicht vollständige Erfüllung einer Auflage zu einer zugelassenen Ausnahme oder Genehmigung § 10 Absatz 3 beziehungsweise § 11 Satz 3 in Verbindung mit § 15 Absatz 1 Nummer 8 LImSchG Bln 80 bis 4000 40 bis 2000
8 Zuwiderhandlung gegen eine vollziehbare Anordnung § 12 in Verbindung mit § 15 Absatz 1 Nummer 9 LImSchG Bln 80 bis 4000 40 bis 2000

Bei den vorstehenden Regel- und Rahmensätzen ist zu beachten, dass bei anlagenbezogenen Immissionen regelmäßig eine strengere Ahndung geboten ist, als bei verhaltensbedingten Immissionen.

(4) Geringfügige Ordnungswidrigkeiten im Sinne des § 56 OWiG werden in der Regel durch eine Verwarnung geahndet. Dabei können Verwarnungsgelder wie folgt erhoben werden:

Laufende
Nummer
Tatbestand Rechtsvorschriften Verwarnungsgeld
(Euro)
1 Halten eines Tieres außerhalb landwirtschaftlicher Tierhaltungen in der Weise, dass jemand durch die Immissionen (Lärm oder Gerüche) erheblich belästigt wird § 2 Absatz 2 in Verbindung mit § 15 Absatz 1 Nummer 1 LImSchG Bln 20 bis 35
2 unnötiges Betreiben eines lärm- oder abgaserzeugenden Motors (außerhalb von öffentlichem Straßenland) § 2 Absatz 3 in Verbindung mit § 15 Absatz 1 Nummer 2 LImSchG Bln 20
3 Verursachung von Lärm, durch den jemand in seiner Nachtruhe gestört werden kann, ohne zugelassene Ausnahme oder Genehmigung § 3 in Verbindung mit § 15 Absatz 1 Nummer 3 LImSchG Bln 35
4 Verursachung von Lärm an Sonn- und Feiertagen, durch den jemand in seiner Ruhe erheblich gestört wird, ohne zugelassene Ausnahme oder Genehmigung § 4 in Verbindung mit in Verbindung mit § 15 Absatz 1 Nummer 4 LImSchG Bln 20
5 Benutzung eines Tonwiedergabegerätes oder Musikinstrumentes mit einer Lautstärke, durch die jemand erheblich gestört wird, ohne zugelassene Ausnahme oder Genehmigung § 5 in Verbindung mit § 15 Absatz 1 Nummer 5 LImSchG Bln 20

(5) Ergeben sich vor oder während des Ermittlungsverfahrens Anhaltspunkte dafür, dass die verfolgte Handlung eine Straftat ist, wird die Sache an die Staatsanwaltschaft abgegeben.

14. Zuständigkeit der Bezirksverwaltungen

(1) Die Zuständigkeit der Bezirksämter von Berlin zum Vollzug des Landes-Immissionsschutzgesetzes Berlin ergibt aus § 2 Absatz 4 Satz 1 ASOG Bln in Verbindung mit Nummer 18 der Anlage zum ASOG Bln (Zuständigkeitskatalog Ordnungsaufgaben - ZustKat Ord). Danach sind sie zuständig für:

  1. nicht genehmigungsbedürftige Anlagen (mit Ausnahme von Baustellen und dort eingesetzte Baumaschinen),
  2. verhaltensbedingten Lärm,
  3. öffentliche Veranstaltungen im Freien von bezirklicher Bedeutung,
  4. öffentliche Motorsportveranstaltungen von bezirklicher Bedeutung außerhalb von Anlagen nach dem Bundes-Immissionsschutzgesetz,
  5. durch Tiere hervorgerufene Immissionen,
  6. sonstige Immissionen im Sinne des § 8 LImSchG Bln, soweit diese nicht durch den Betrieb von Baustellen und dort eingesetzten Baumaschinen herrühren oder durch Veranstaltungen verursacht werden, die in der Zuständigkeit der für den Umweltschutz zuständigen Senatsverwaltung liegen.

(2) Das örtliche Bezirksamt ist zuständig für die ersten Ermittlungen zur Feststellung von Verursachern bei zunächst unbekannten Emissionsquellen.

15. Zuständigkeit der für den Umweltschutz zuständigen Senatsverwaltung

(1) Die Zuständigkeit zum Vollzug des Landes-Immissionsschutzgesetzes Berlin der für den Umweltschutz zuständigen Senatsverwaltung ergibt aus § 2 Absatz 4 Satz 1 ASOG in Verbindung mit Nummer 10 ZustKat Ord. Danach ist diese zuständig für:

  1. Baustellen und dort eingesetzte Baumaschinen
    Für die Bestimmung der Begriffe "Baustelle", "Baumaschine" und "Bauarbeiten" gilt Nummer 2 AVV Baulärm. Baulagerplätze sind Plätze, auf denen Baumaschinen zur Herstellung von Bauteilen und zur Aufbereitung von Baumaterial für bestimmte Bauvorhaben betrieben werden im Sinne von Nummer 2.1 AVV Baulärm. Plätze, deren Nutzungsende nicht absehbar ist, sind keine Baulagerplätze. Keine Bauarbeiten sind Arbeiten zur Aufsuchung, Gewinnung oder Aufbereitung von Bodenschätzen, auch solcher Bodenschätze, die als Baustoffe bei der Herstellung baulicher Anlagen Verwendung finden (Stein, Sand, Kies und ähnliche Stoffe), sowie Kranarbeiten, die nicht im Zusammenhang mit Bauarbeiten stehen. Wartungs-, Instandhaltungs- und Renovierungsarbeiten sind keine Bauarbeiten im Sinne von Nummer 18 Absatz 1 und 2 ZustKat Ord.
  2. öffentliche Veranstaltungen im Freien von gesamtstädtischer Bedeutung
    Veranstaltungen von gesamtstädtischer Bedeutung sind auch solche, die von den Verfassungsorganen, den Vertretungen der Länder beim Bund und ausländischen Vertretungen durchgeführt werden.

(2) Von gesamtstädtischer Bedeutung im Sinne des Absatz 1 sind insbesondere Veranstaltungen, die auf Grund ihrer Größenordnung, des historischen, kulturellen, religiösen, politischen oder sportlichen Charakters, des Ausmaßes der Immissionen oder des großen Publikumsinteresses Bedeutung für das Land Berlin insgesamt haben. Die Entscheidung trifft im Einzelfall die für den Umweltschutz zuständige Senatsverwaltung.

(3) Bei Meinungsverschiedenheiten hinsichtlich der Zuständigkeit entscheidet im Einzelfall die für den Umweltschutz zuständige Senatsverwaltung.

16. Befugnisse des Polizeipräsidenten in Berlin

Neben den Bezirksämtern und der für den Umweltschutz zuständigen Senatsverwaltung ist der Polizeipräsident in Berlin im Rahmen des Vollzugs des Landes-Immissionsschutzgesetzes Berlin gemäß § 53 OWiG befugt zur:

  1. Ermittlung von Ordnungswidrigkeitentatbeständen auf Grund von Beschwerden, eigenen Beobachtungen oder eines Ermittlungsersuchens der zuständigen Verfolgungsbehörden,
  2. Fertigung von Ordnungswidrigkeitenanzeigen über aufgeführte Tatbestände,
  3. Erteilung von mündlichen Verwarnungen und Erhebung von Verwarnungsgeldern bei geringfügigen Ordnungswidrigkeiten gemäß § § 56 bis 58 OWiG.

17. Schlussbestimmungen

Diese Ausführungsvorschriften treten am Tage nach der Veröffentlichung im Amtsblatt für Berlin in Kraft und treten mit Ablauf des 30. November 2020 außer Kraft. Gleichzeitig treten die Ausführungsvorschriften zum Landes-Immissionsschutzgesetz Berlin vom 10. Juli 2013 (GVBl. S. 1619) und die Ausführungsvorschriften zum Landes-Immissionsschutzgesetz Berlin - Veranstaltungen - vom 30. Dezember 2010 (GVBl. 2011 S. 48) außer Kraft.

Anlage verpflichtet ist, den Benutzern ein geräuscharmes Verhalten vorzuschreiben, und wenn er in der Lage ist, die Einhaltung seiner Vorschriften zu überwachen und Verstöße abzustellen.

.

Freizeitlärm-Richtlinie Anlage 1

1 - Anwendungsbereich

Der Anwendungsbereich dieser Richtlinie ergibt sich aus Nummer 6 Absatz 1 und 2 der Ausführungsvorschriften zum Landes-Immissionsschutzgesetz Berlin.

2 - Immissionsschutzrechtliche Grundsätze

Freizeitanlagen sind nicht genehmigungsbedürftige Anlagen, auf die neben den Bestimmungen des § 22 ff. BImSchG das Landes-Immissionsschutzgesetz Berlin (LImSchG Bln) vom 5. Dezember 2005 anwendbar ist. Danach sind schädliche Umwelteinwirkungen zu vermeiden oder zu vermindern, soweit dies nach dem Stand der Technik möglich ist; unvermeidbare schädliche Umwelteinwirkungen sind auf ein Mindestmaß zu beschränken. Die Beachtung dieser Pflicht kann durch Anordnungen nach § 24 BImSchG und § 12 LImSchG durchgesetzt werden.

Schädliche Umwelteinwirkungen liegen dann vor, wenn die Nachbarschaft oder die Allgemeinheit erheblich belästigt werden. Die Erheblichkeit einer Lärmbelästigung hängt nicht nur von der Lautstärke der Geräusche ab, sondern auch wesentlich von der Nutzung des Gebietes, auf das sie einwirken, von der Art der Geräusche und der Geräuschquellen sowie dem Zeitpunkt (Tageszeit) oder der Zeitdauer der Einwirkungen. Auch die Einstellung der Betroffenen zu der Geräuschquelle kann für den Grad der Belästigung von Bedeutung sein. Bei der Beurteilung ist nicht auf eine mehr oder weniger empfindliche Person, sondern auf die Einstellung einer verständigen, durchschnittlich empfindlichen Person abzustellen.

Von Bedeutung für die Beurteilung der Geräusche von Freizeitanlagen ist die Schutzbedürftigkeit der Nutzungen in den diesen Anlagen benachbarten Gebieten. Bei der Zuordnung der für die Beurteilung maßgebenden Immissionsrichtwerte zu den Gebieten im Einwirkungsbereich der Anlage ist grundsätzlich vom Bebauungsplan auszugehen. Weicht die tatsächliche bauliche Nutzung im Einwirkungsbereich der Anlage erheblich von der im Bebauungsplan festgesetzten baulichen Nutzung ab, so ist von der tatsächlichen baulichen Nutzung unter Berücksichtigung der vorgesehenen Entwicklung des Gebietes auszugehen. Ist ein Bebauungsplan nicht aufgestellt, so ist die tatsächliche bauliche Nutzung zugrunde zu legen; eine voraussehbare Änderung der baulichen Nutzung ist zu berücksichtigen.

Liegen aufgrund baulicher Entwicklungen in der Vergangenheit Wohngebiete und Freizeitanlagen eng zusammen, kann eine besondere Pflicht zur gegenseitigen Rücksichtnahme bestehen. Sofern an störenden Anlagen alle verhältnismäßigen Emissionsminderungsmaßnahmen durchgeführt sind, kann die Pflicht zur gegenseitigen Rücksichtnahme dazu führen, dass die Bewohner mehr an Geräuschen hinnehmen müssen als die Bewohner von gleichartig genutzten Gebieten, die fernab derartiger Anlagen liegen. Die im Einzelfall noch hinzunehmende Geräuscheinwirkung hängt von der Schutzbedürftigkeit der Bewohner des Gebietes und den tatsächlich nicht weiter zu vermindernden Geräuschemissionen ab. Die zu duldenden Geräuscheinwirkungen sollen die Immissionsrichtwerte unterschreiten, die für die Gebietsart mit dem nächst niedrigeren Schutzanspruch gelten.

Soweit die Einhaltung der Pflichten nach § 22 Absatz 1 BImSchG nicht anderweitig sichergestellt werden, können diese durch Anordnungen nach § 24 BImSchG und § 12 LImSchG durchgesetzt werden. Als Gegenstand von Anordnungen kommen schallmindernde Maßnahmen (vergleiche Nummer 5) sowie zeitliche Beschränkungen des Betriebs in Betracht. Schallmindernde Maßnahmen und zeitliche Beschränkungen können ganz oder teilweise entbehrlich sein, wenn der Betreiber der

Eine Stilllegung von Anlagen kommt nach § 25 Absatz 2 BImSchG nur in Betracht, wenn ihr Betrieb zu Gefahren für Leben, Gesundheit oder bedeutende Sachwerte führt.

Neben dem Immissionsschutzrecht hat vor allem das Planungsrecht die Aufgabe, Konflikte, die durch Emissionen von Freizeitanlagen entstehen können, zu vermeiden. Vor einer Genehmigung von Freizeitanlagen (auch von Nutzungserweiterungen oder -änderungen bestehender Anlagen) ist deshalb zu prüfen, ob sie nach dem Bauplanungsrecht an einem bestimmten Standort zulässig sind.

3 - Ermittlung des Beurteilungspegels der von Freizeitanlagen ausgehenden Geräusche

Bei der Ermittlung der durch Freizeitanlagen verursachten Geräuschimmissionen kann auf die allgemein anerkannten akustischen Grundregeln, wie sie in der Technischen Anleitung zum Schutz gegen Lärm (Ta Lärm) vom 26. August 1998 und der Sportanlagenlärmschutzverordnung ( 18. BImSchV) festgehalten sind, zurückgegriffen werden. Der Messort ist entsprechend den schutzwürdigen Nutzungen in der Nachbarschaft der Anlage auszuwählen. Dabei sollen die Regelungen der Nummer 1.2 in Verbindung mit der Nummer 3.2.2.1 des Anhangs der 18. BImSchV herangezogen werden.

Bei der Ermittlung des Beurteilungspegels Lr ist grundsätzlich vom Mittelungspegel LAeqgemäß folgender Gleichung:

auszugehen.

Bei der Berücksichtigung

gilt Folgendes:

3.1 - Zuschlag K für Impulshaltigkeit und/oder auffällige Pegeländerungen

Enthält das zu beurteilende Geräusch Impulse und/oder auffällige Pegeländerungen, ist dem Mittelungspegel ein Zuschlag für die Zeit, während der die Impulse und/oder auffällige Pegeländerungen auftreten, hinzuzurechnen. Unter impulsartigen Geräuschen und/oder Geräuschen mit auffälligen Pegeländerungen sind Geräusche zu verstehen, deren Pegel nach dem subjektiven Eindruck schnell über den mittleren Pegel des Geräusches ansteigt und bei denen diese Pegelerhöhungen von kurzer Dauer sind. Als Impulszuschlag gilt die Differenz zwischen dem Mittelungspegel LAeq,i und dem Wirkpegel nach dem Taktmaximalverfahren LAFTeq,i.

Kl,i= LAFTeq,i- LAeq,i

Für die von Freizeitanlagen hervorgerufenen Geräusche (zum Beispiel auch für Musik) ist im Allgemeinen ein Impulszuschlag erforderlich.

Wenn bei einer Prognoseberechnung vom Schallleistungspegel ausgegangen wird, ist der Zuschlag für die Impulshaltigkeit und/oder auffällige Pegeländerungen nach Erfahrungswerten zu bestimmen.

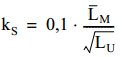
3.2 - Zuschlag Kr für Tonhaltigkeit und Informationshaltigkeit

Wenn sich aus dem Geräusch von Freizeitanlagen ein Einzelton heraushebt, ist ein Tonzuschlag KTonvon 3 dB oder 6 dB zu dem Mittelungspegel für die Zeit, während der Ton auftritt, hinzuzurechnen. Der Zuschlag von 6 dB ist nur bei besonderer Auffälligkeit des Tons zu wählen.

Wegen der erhöhten Belästigung beim Mithören ungewünschter Informationen ist je nach Auffälligkeit ein Informationszuschlag KInfvon 3 dB oder 6 dB zu berücksichtigen. Dieser Zuschlag ist dem Mittelungspegel hinzuzurechnen, der für den Zeitraum ermittelt wird, in dem das informationshaltige Geräusch auftritt. Der Zuschlag von 6 dB ist nur bei besonders hohem Informationsgehalt (zum Beispiel laute und gut verständliche Lautsprecherdurchsagen, deutlich hörbare Musikwiedergaben) zu wählen.

Die hier genannten Zuschläge sind so zusammenzufassen, dass der Gesamtzuschlag auf maximal 6 dB begrenzt bleibt.

Kr,i= KTon,i+ KInf,i ≤ 6 dB

3.3 - Schutz ruhebedürftiger Zeiten und der Sonn- und Feiertage

Der Schutz der ruhebedürftigen Zeiten und der Sonn- und Feiertage wird durch die in Nummer 4.1 für Ruhezeiten und Sonn- und Feiertage genannten niedrigeren Immissionsrichtwerte berücksichtigt. Ein Zuschlag für Ruhezeiten kommt daher nicht in Betracht.

3.4 - Beurteilungszeiten

An Werktagen gilt für Geräuscheinwirkungen

An Sonn- und Feiertagen gilt für Geräuscheinwirkungen

4 - Immissionsschutzrechtliche Bewertung

Die nachfolgenden Immissionsrichtwerte markieren die Schwelle, oberhalb der in der Regel mit erheblichen Belästigungen zu rechnen ist.

4.1 - Immissionsrichtwerte "Außen"

Die Immissionsrichtwerte "Außen" betragen für Immissionsorte außerhalb von Gebäuden:

a) in Industriegebieten
tags außerhalb der Ruhezeit 70 dB(A)
tags an Werktagen und an Sonn- und Feiertagen innerhalb der Ruhezeit 70 dB(A)
nachts 70 dB(A)
b) in Gewerbegebieten tags außerhalb der Ruhezeit 65 dB(A)
tags an Werktagen und an Sonn- und Feiertagen innerhalb der Ruhezeit 60 dB(A)
nachts 50 dB(A)
c) in Kerngebieten, Dorfgebieten und Mischgebieten tags außerhalb der Ruhezeit 60 dB(A)
tags an Werktagen und an Sonn- und Feiertagen innerhalb der Ruhezeit 55 dB(A)
nachts 45 dB(A)
d) in allgemeinen Wohngebieten und Kleinsiedlungsgebieten tags außerhalb der Ruhezeit 55 dB(A)
tags an Werktagen und an Sonn- und Feiertagen innerhalb der Ruhezeit 50 dB(A)
nachts 40 dB(A)
e) in reinen Wohngebieten
tags außerhalb der Ruhezeit 50 dB(A)
tags an Werktagen und an Sonn- und Feiertagen innerhalb der Ruhezeit 45 dB(A)
nachts 35 dB(A)
f) in Kurgebieten, für Krankenhäuser und Pflegeanstalten tags außerhalb der Ruhezeit 45 dB(A)
tags an Werktagen und an Sonn- und Feiertagen innerhalb der Ruhezeit 45 dB(A)
Nachts 35 dB(A)

4.2 - Immissionswerte "Innen"

Bei Geräuschübertragung innerhalb von Gebäuden und bei Körperschallübertragung betragen die Richtwerte für Wohnräume unabhängig von der Lage des Gebäudes in einem der oben genannten Gebiete:

4.3 - Maximalpegel

Einzelne Geräuschspitzen sollen die Immissionsrichtwerte "Außen" tags um nicht mehr als 30 dB(A) sowie nachts um nicht mehr als 20 dB(A) überschreiten. Ferner sollen einzelne Geräuschspitzen die Immissionsrichtwerte "Innen" um nicht mehr als 10 dB(A) überschreiten.

4.4 - Besonderheiten bei seltenen Störereignissen

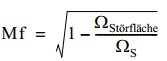
Sind durch den Betrieb einer Anlage trotz Einhaltung des Standes der Technik zur Lärmminderung nur in seltenen Fällen, aber an nicht mehr als zehn Tagen oder Nächten eines Kalenderjahres und an nicht mehr als an jeweils zwei aufeinander folgenden Wochenenden am maßgeblichen Immissionsort die Immissionsrichtwerte nach Nummer 4.1 Buchstabe b bis f nicht einhaltbar, so soll erreicht werden, dass die Beurteilungspegel vor den Fenstern (im Freien) die nachfolgenden Werte nicht überschreiten:

Geräuschspitzen sollen die vorgenannten Werte tagsüber um nicht mehr als 20 dB(A) und nachts um nicht mehr als 10 dB(A) überschreiten.

Soweit die oben genannten allgemeinen Beurteilungskriterien weniger strenge Anforderungen stellen, sind diese auch für seltene Störereignisse maßgeblich.

5 - Maßnahmen

Schallmindernde Maßnahmen sind entsprechend der Besonderheit der jeweiligen Anlage, den besonderen Nutzungsbedingungen und den Umgebungsbedingungen einzelfallgerecht auszuwählen und zu planen.

.

Hinweise zur Messung, Beurteilung und Minderung von Lichtimmissionen Anlage 2

Diese Hinweise haben den Beschluss der Bund/Länderarbeitsgemeinschaft für Immissionsschutz vom 13. September 2012 zur Grundlage.

1 - Allgemeines

Licht gehört gemäß § 3 Absatz 2 BImSchG zu den Immissionen und gemäß § 3 Absatz 3 BImSchG zu den Emissionen im Sinne des Gesetzes. Lichtimmissionen gehören nach dem BImSchG zu den schädlichen Umwelteinwirkungen, wenn sie nach Art, Ausmaß oder Dauer geeignet sind, Gefahren, erhebliche Nachteile oder erhebliche Belästigungen für die Allgemeinheit oder für die Nachbarschaft herbeizuführen.

Der Gesetzgeber hat bisher keine Regelungen zur Bestimmung der immissionsschutzrechtlichen Erheblichkeitsgrenzen für Lichtimmissionen erlassen und auch nicht in Aussicht gestellt. Diese Hinweise beinhalten Vorgaben zur einheitlichen Messung und Beurteilung von Lichtimmissionen für den Vollzug des BImSchG.

Die im Immissionsschutz zu beurteilenden Lichteinwirkungen bewegen sich im Bereich der Belästigung. Gesundheitliche Schäden am Auge können ausgeschlossen werden.

Die unter Nummer 6 vorgeschlagenen Maßnahmen tragen zum Schutz vor Lichtimmissionen und zusätzlich zur Energieeffizienz bei.

2 - Anwendungsbereich

Die Hinweise finden Anwendung zur Beurteilung der Wirkung von Lichtimmissionen auf Menschen durch lichtemittierende Anlagen aller Art, soweit es sich dabei um Anlagen oder Bestandteile von Anlagen im Sinne des § 3 Absatz 5 BImSchG handelt. Zu den lichtemittierenden Anlagen zählen künstliche Lichtquellen aller Art wie zum Beispiel Scheinwerfer zur Beleuchtung von Sportstätten, von Verladeplätzen und für Anstrahlungen sowie Lichtreklamen, aber auch hell beleuchtete Flächen wie zum Beispiel angestrahlte Fassaden.

Anlagen zur Beleuchtung des öffentlichen Straßenraumes, Beleuchtungsanlagen von Kraftfahrzeugen und dem Verkehr zuzuordnende Signalleuchten gehören nicht zu den Anlagen im Sinne des § 3 Absatz 5 BImSchG.

Die Hinweise gelten nicht für Laser, da hierfür eine gesonderte Beurteilung nach den Kriterien des Gesundheitsschutzes erforderlich ist.

Durch diese Hinweise werden weitreichende Lichtabstrahlungen (zum Beispiel durch Skybeamer), die zu einer Aufhellung des Nachthimmels führen, nicht erfasst, soweit die Immissionsrichtwerte für die Raumaufhellung und Blendung eingehalten werden. In diesem Zusammenhang wird auf die Ausführungen von [2] verwiesen.

Einen Sonderfall stellen die Licht-/Schatteneffekte von Windenergieanlagen dar, für die eine eigenständige Regelung besteht. [5]

3 - Beurteilungsgrundsätze

Schädliche Umwelteinwirkungen liegen dann vor, wenn die Nachbarschaft oder die Allgemeinheit erheblich belästigt wird. Diese Hinweise geben Maßstäbe zur Beurteilung der Lästigkeitswirkung an. Eine erhebliche Belästigung im Sinne des § 5 Absatz 1 Nummer 1 oder des § 22 Absatz 1 BImSchG tritt in der Regel auf, wenn die unter Nummer 4.1 beziehungsweise Nummer 5.2 dieser Hinweise angegebenen Immissionsrichtwerte überschritten werden.

Die Erheblichkeit der Belästigung durch Lichtimmissionen hängt aber auch wesentlich von der Nutzung des Gebietes, auf das sie einwirken, sowie dem Zeitpunkt (Tageszeit) oder der Zeitdauer der Einwirkungen ab. Die Beurteilung orientiert sich nicht an einer mehr oder weniger empfindlichen individuellen Person, sondern an der Einstellung eines durchschnittlich empfindlichen Menschen.

Von Bedeutung für die Beurteilung der Lichtimmissionen von Anlagen ist die Schutzbedürftigkeit der Nutzungen in den diesen Anlagen benachbarten Gebieten. Bei der Zuordnung der für die Beurteilung maßgebenden Immissionsrichtwerte zu den Gebieten im Einwirkungsbereich der Anlage ist grundsätzlich vom Bebauungsplan auszugehen. Ist ein Bebauungsplan nicht aufgestellt, so ist die tatsächliche Nutzung zugrunde zu legen; eine voraussehbare Änderung der baulichen Nutzung ist zu berücksichtigen.

Liegen aufgrund baulicher Entwicklungen in der Vergangenheit Wohngebiete und lichtemittierende Anlagen eng zusammen, kann eine besondere Pflicht zur gegenseitigen Rücksichtnahme bestehen. Sofern an Anlagen, die wesentlich zu einer Überschreitung der Immissionsrichtwerte beitragen, alle verhältnismäßigen Emissionsminderungsmaßnahmen durchgeführt sind, kann die Pflicht zur gegenseitigen Rücksichtnahme dazu führen, dass die Bewohner mehr an Lichtimmissionen hinnehmen müssen als die Bewohner von gleichartig genutzten Gebieten, die fernab derartiger Anlagen liegen. Das Maß der im Einzelfall noch hinzunehmenden Lichtimmissionen hängt von der Schutzbedürftigkeit des Gebietes und den tatsächlich nicht weiter zu vermindernden Lichtemissionen ab. Die zu duldenden Lichteinwirkungen sollen aber die Immissionsrichtwerte unterschreiten, die für die Gebietsart mit dem nächst niedrigeren Schutzanspruch gelten. 1

Bei der Ermessensausübung im Rahmen der Anwendung des § 24 BImSchG gegenüber Sportanlagen sind die lichtfunktionalen Anforderungen des Sports (zum Beispiel eine regelmäßige Beleuchtung) zu berücksichtigen.

Bei bestehenden Beleuchtungsanlagen soll die zuständige Behörde im Einzelfall prüfen, ob von einer Festsetzung von Betriebszeiten abgesehen werden kann, wenn die Immissionsrichtwerte für die Gebietsart mit dem nächst niedrigeren Schutzanspruch nicht überschritten werden.

Die Beurteilung umfasst zwei Bereiche:

  1. Raumaufhellung
    Aufhellung des Wohnbereiches, insbesondere des Schlafzimmers, aber auch des Wohnzimmers, der Terrasse oder des Balkons durch die in der Nachbarschaft vorhandene Beleuchtungsanlage, die zu einer eingeschränkten Nutzung dieser Wohnbereiche führt. Die Aufhellung wird durch die mittlere Beleuchtungsstärke EFin der Fensterebene beschrieben.
  2. Blendung
    Bei der Blendung durch Lichtquellen wird zwischen der physiologischen und psychologischen Blendung unterschieden. Während die physiologische Blendung, die die Minderung des Sehvermögens durch Streulicht im Glaskörper des Auges beschreibt, bei den üblichen Immissionssituationen nicht auftritt, werden die Anwohner häufig durch die psychologische Blendung belästigt. Das ist selbst dann so, wenn sich die Lichtquelle in größerer Entfernung befindet, so dass sie im Wohnbereich keine nennenswerte Aufhellung erzeugt. Die Belästigung entsteht durch die ständige und ungewollte Ablenkung der Blickrichtung zur Lichtquelle hin, die bei einem großen Unterschied der Leuchtdichte der Lichtquelle zur Umgebungsleuchtdichte die ständige Adaptation des Auges auslöst. Für die Störwirkung sind daher die Leuchtdichte LS der Blendlichtquelle, die Umgebungsleuchtdichte und der Raumwinkel ΩS, vom Betroffenen (Immissionsort) aus gesehen, maßgebend.

Aufgabe des Immissionsschutzes ist es vornehmlich, erhebliche Belästigungen durch psychologische Blendung von starken industriellen, gewerblichen und im Bereich von Sport- und Freizeitanlagen angeordneten Lichtquellen in der schützenswerten Nachbarschaft zu vermeiden. Durch diese Immissionen kann die Nutzung eines inneren oder äußeren Wohnbereichs erheblich gestört werden.

Schutzwürdige Räume im Sinne dieser Hinweise sind:

Direkt an Gebäuden beginnende Außenflächen (zum Beispiel Terrassen und Balkone) sind in die Beurteilung mit einzubeziehen. Dazu ist auf die Nutzungszeit tagsüber (6 bis 22 Uhr) abzustellen.

4 - Beurteilung und Messung der Raumaufhellung

4.1 - Beurteilung

Mess- und Beurteilungsgröße für die Raumaufhellung ist die nach diesen Hinweisen gemessene mittlere Beleuchtungsstärke EFam Immissionsort. Immissionsrichtwerte der mittleren Beleuchtungsstärke EF, die von einer Beleuchtungsanlage in ihrer Nachbarschaft nicht überschritten werden sollen, sind in Tabelle 1 enthalten, soweit die nachfolgenden Ausführungen dem nicht entgegenstehen.

Tabelle 1:Immissionsrichtwerte der mittleren Beleuchtungsstärke EFin der Fensterebene von Wohnungen beziehungsweise bei Balkonen oder Terrassen, auf den Begrenzungsflächen für die Wohnnutzung, hervorgerufen von Beleuchtungsanlagen während der Dunkelstunden, ausgenommen öffentliche Straßenbeleuchtungsanlagen

Immissionsort (Einwirkungsort)
Gebietsart nach § BauNVO
mittlere Beleuchtungsstärke EFin lX
6 bis 22 Uhr 22 bis 6 Uhr
1 Kurgebiete, Krankenhäuser, Pflegeanstalten1 1 1
2 reine Wohngebiete ( § 3)
allgemeine Wohngebiete ( § 4)
besondere Wohngebiete ( § 4a)
Kleinsiedlungsgebiete ( § 2)
Erholungsgebiete ( § 10)
3 1
3 Dorfgebiete ( § 5)
Mischgebiete ( § 7)
5 1
4 Kerngebiete ( § 7)2
Gewerbegebiete ( § 8)
Industriegebiete ( § 9)
15 5
1) Wird die Beleuchtungsanlage regelmäßig weniger als eine Stunde pro Tag eingeschaltet, gelten auch für die in Zeile 1 genannten Gebiete die Werte der Zeile 2.
2) Kerngebiete können in Einzelfällen bei geringer Umgebungsbeleuchtung auch Zeile 3 zugeordnet werden (vor 22 Uhr EF ≤ 5 lx; nach 22 Uhr EF ≤ 1 lx).

Wird die mittlere Beleuchtungsstärke am Immissionsort maßgeblich durch andere Lichtquellen bestimmt, sollen Maßnahmen an der zu beurteilenden Beleuchtungsanlage solange ausgesetzt werden, wie die Anlage nicht wesentlich zur Gesamt-Beleuchtungsstärke beiträgt.

Tabelle 1 bezieht sich auf zeitlich konstantes und weißes oder annähernd weißes Licht (das Licht von Natriumdampf-Hochdrucklampen gilt noch als annähernd weiß), das mehrmals in der Woche jeweils länger als eine Stunde eingeschaltet ist. Wird die Anlage seltener oder kürzer betrieben beziehungsweise über Bewegungsmelder geschaltet, sind Einzelfallbetrachtungen anzustellen. Dabei soll der Zeitpunkt und die Häufigkeit des Auftretens, die allgemeine Umgebungshelligkeit, die Ortsüblichkeit sowie insbesondere die Möglichkeit für Minderungsmaßnahmen der Störwirkung berücksichtigt werden. Hieraus können gegebenenfalls auch höhere oder niedrigere Immissionsrichtwerte der Beleuchtungsstärke EF als in Tabelle 1 vertreten werden.

Bei Beleuchtungsanlagen mit veränderbaren Betriebszuständen ist der Beleuchtungszustand mit der maximalen Beleuchtungsstärke zu bewerten.

Beleuchtungsanlagen, deren Betriebszustände sich nicht schneller als in einem fünfminütigen Rhythmus ändern, gelten als zeitlich konstant abstrahlend. Ändern sich die Betriebszustände in weniger als fünf Minuten wesentlich, dann liegt ein Wechsellicht vor. In besonders auffälligen Wechsellichtsituationen (zum Beispiel große Schwankungen der Beleuchtungsstärke, schnelle Hell-Dunkel-Übergänge, blitzlichtartige Vorgänge, schnelle Folgefrequenzen des Wechsellichtes), die lästiger als zeitlich konstantes Licht empfunden werden, ist bei der Beurteilung der Raumaufhellung die maximale Beleuchtungsstärke EF je nach Auffälligkeit mit einem Faktor zu multiplizieren und mit den Immissionsrichtwerten der Tabelle 1 zu vergleichen. Der Faktor bei Wechsellicht kann nach Tabelle 1a gemäß [2] bestimmt werden.

Tabelle 1a: Faktor bei Wechsellicht

Periodendauer Faktor bei
Wechsellicht
Frequenz Faktor bei
Wechsellicht
≥ 5 min 1 > 0,67 bis 18 Hz 5
5 min bis 4 s 1,5 19 bis 24 Hz 3
4 s bis 2 s 2 25 bis 30 Hz 2
2 s bis 1,5 s 3 > 30 Hz 1
Fortsetzung rechts

Handelt es sich bei den Lichtschwankungen um sinusförmige Schwankungen, die weniger als ± 15 % der mittleren Beleuchtungsstärke ausmachen, ist vom jeweils nächsten niedrigeren Tabellenwert auszugehen.

Ein Verfahren zur Ermittlung eines Faktors bei nichtperiodischen Anlagen (zum Beispiel LED-Videoinstallationen) existiert derzeit nicht. Hier ist die Störwirkung für den konkreten Einzelfall abzuschätzen.

Intensiv farbiges Licht besitzt eine besondere Störwirkung, die bei der Beurteilung der Raumaufhellung durch den immissionsseitig subjektiv zu vergebenden Faktor 2 berücksichtigt werden kann. Der Faktor ist mit der mittleren Beleuchtungsstärke EFzu multiplizieren und mit den Immissionsrichtwerten der Tabelle 1 zu vergleichen.

Der Faktor für das Wechsellicht und der für intensiv farbiges Licht sind nicht zu kumulieren. Es gilt der höhere Wert.

Eine Überschreitung der Immissionsrichtwerte als Anlass für behördliche Anordnungen kann wegen der Fehlergrenzen der Messgeräte (siehe Abschnitt 4.3) erst dann angenommen werden, wenn das Messergebnis mindestens 20 % oberhalb der Immissionsrichtwerte der Tabelle 1 liegt.

4.2 - Zeit und Ort der Messung

Es soll zu einer Zeit gemessen werden, die für die Lichtimmissionen am Immissionsort typisch ist. Werden die Messwerte zum Beispiel durch Regen, Schnee oder Nebel beeinflusst, so ist nicht zu messen.

Messort bei der Beurteilung ist für schutzwürdige Räume bei geöffneten Fenstern die jeweilige Fensterebene, bei Balkonen oder Terrassen sind es sinngemäß die Begrenzungsflächen für die Wohnnutzung.

Die mittlere Beleuchtungsstärke EF ist vor dem geöffneten Fenster oder außen unmittelbar vor der Scheibe zu ermitteln. Wird bei einem nicht zu öffnenden Fenster innen hinter der Fensterscheibe gemessen, so muss der Licht absorbierende Einfluss der Scheibe durch einen Korrekturfaktor berücksichtigt werden. Bei sauberen Scheiben können folgende Faktoren näherungsweise eingesetzt werden:

Einfachverglasung: 1,1
Doppelverglasung: 1,25
Dreifachverglasung: 1,4
beschichtete Wärmeschutzverglasung: 1,7

Die Messzellennormale ist bei der Messung der mittleren Beleuchtungsstärke EF parallel zur Normalen der Bezugsfläche auszurichten. Bei örtlich unterschiedlichen Beleuchtungsstärken in der Bezugsfläche ist der arithmetische Mittelwert der Beleuchtungsstärke zu ermitteln. Ist die Bezugsfläche größer als 1,5 m2, ist der Mittelwert der am stärksten beleuchteten Fläche von 1,5 m2 maßgebend.

Bei der Messung ist die Zimmerbeleuchtung auszuschalten.

Beleuchtungsanteile durch nicht zu beurteilende Lichtquellen aus der Umgebung sind zum Beispiel durch Ausblendung oder Differenzbildung zu beseitigen.

Für die Differenzbildung sind die Beleuchtungsstärkewerte EF,i(mit) und EF,i(ohne) an den Messpunkten i zu messen, die sich bei eingeschalteter (d. h. mit) und bei ausgeschalteter (das heißt ohne) Beleuchtungsanlage ergeben. Der durch die zu beurteilende Anlage verursachte mittlere Beleuchtungsstärkewert errechnet sich aus:

(1)

4.3 - Anforderungen an das Beleuchtungsstärkemessgerät

Das Beleuchtungsstärkemessgerät ("Luxmeter") muss gestatten, 0,1 lx zu messen, das heißt seine Auflösung muss 0,01 lx betragen. Die Geräte müssen mindestens den Anforderungen der Klasse B nach DIN 5032, Teil 7 [1], mit einem Gesamtfehler < 10 % genügen.

5 - Beurteilung und Messung der Blendung

5.1 - Beurteilung

Als Konvention zur Berechnung von Werten für die maximal tolerable mittlere Leuchtdichte Lmax einer technischen Blendlichtquelle wird für den Bereich des Immissionsschutzes folgende Beziehung festgelegt:

(2)

Es bedeuten:

Lmax Maximal tolerable Leuchtdichte einer Blendlichtquelle in cd/m2, gemittelt über den zugehörigen RaumwinkelΩS
LU Maßgebende Leuchtdichte der Umgebung der Blendlichtquelle in cd/m2, falls die aus Messungen ermittelte Umgebungsleuchtdichte kleiner als 0, 1 cd/m2 ist, wird mit LU = 0, 1 cd/m2 gerechnet
ΩS Raumwinkel der vom Immissionsort aus gesehenen Blendlichtquelle in sr
k normierter Proportionalitätsfaktor

Die Anwendung des Beurteilungsverfahrens gilt nur unter der Voraussetzung, dass vom Immissionsort aus - bei üblicher Position - der Blick zur Blendquelle hin möglich ist. Als Blickrichtung wird dann dieser Blick zur Blendquelle hin angenommen, weil sich das Auge im Allgemeinen unwillkürlich zur Blendlichtquelle hinwendet, da sie häufig das auffälligste Sehobjekt im Gesichtsfeld ist.

Der Anwendungsbereich von Gleichung (2) wird auf 0,1 cd/m2 < LU < 10 cd/m2und 10-6 sr ΩS < 10 -2 sr beschränkt. Unterhalb ΩS = 10-6 sr liegt eine "Punktquelle" vor, bei der die Blendbeleuchtungsstärke maßgebend wird. Diese darf

in Lux am Immissionsort nicht überschreiten

Oberhalb von ΩS = 10-2 sr liegt eine "große Flächenquelle" vor.

Der Grenzwert ist dort eine vom Raumwinkel der Quelle unabhängige Konstante. Die mittlere Leuchtdichte darf den Wert von

nicht überschreiten. Dies gilt für zeitlich konstantes Licht.

Die Blendung von zeitlich veränderlichem Licht wird im Allgemeinen als lästiger empfunden als zeitlich konstantes Licht. Die stärkere Störempfindung von Wechsellicht kann bei der Beurteilung der Blendung näherungsweise durch Faktoren bis zu 5 berücksichtigt werden, um die die Messwerte oder Berechnungsergebnisse vor dem Vergleich mit den Immissionsrichtwerten erhöht werden.

5.2 - Vorgehensweise

Die psychologische Blendwirkung einer Lichtquelle lässt sich durch das Blendmaß kS beschreiben:

(3)

Das Blendmaß soll die Immissionsrichtwerte für Blendung k gemäß Tabelle 2 nicht überschreiten.

Tabelle 2:Immissionsrichtwert k zur Festlegung der maximal zulässigen Blendung durch technische Lichtquellen während der Dunkelstunden

Immissionsort (Einwirkungsort) (Gebietsart nach § BauNVO) Immissionsrichtwert k für Blendung
6 bis 20 Uhr 20 bis 22 Uhr 22 bis 6 Uhr
1 Kurgebiete, Krankenhäuser, Pflegeanstalten ( § 3)1 32 32 32
2 reine Wohngebiete
allgemeine Wohngebiete ( § 4)
besondere Wohngebiete ( § 4a)
Kleinsiedlungsgebiete ( § 2)
Erholungsgebiete ( § 10)
96 64 32
3 Dorfgebiete ( § 5)
Mischgebiete ( § 6)
160 160 32
4 Kerngebiete ( § 7) 2
Gewerbegebiete ( § 8)
Industriegebiete ( § 9)
-

-

160
1) Wird die Beleuchtungsanlage regelmäßig weniger als eine Stunde pro Tag eingeschaltet, gelten auch für die in Zeile 1 genannten Gebiete die Werte der Zeile 2.
2) Kerngebiete können in Einzelfällen bei geringer Umgebungsbeleuchtung (Lu,mess < 0,1 cd/m2) auch Zeile 3 zugeordnet werden.

Diese Gleichung kann im Falle der Messung der Leuchtdichte LM mit einer Messblende vom Raumwinkel ΩMwie folgt angewendet werden:

(4)

Die Wahl der Messblende (Raumwinkel ΩM) ist in weiten Grenzen beliebig. Bedingung ist nur, dass die Blendquelle repräsentativ ist und kein Fremdlicht erfasst wird. Ist die Blende kleiner als die Lichtquelle, dann besteht die Gefahr, dass die Messwerte nicht repräsentativ für die gesamte leuchtende Fläche sind, was durch mehrere Messwerte an verschiedenen Stellen zu prüfen ist.

Für den Fall, dass der Raumwinkel ΩSder Lichtquelle den Wert 10-6 sr unterschreitet, vereinfacht sich Gleichung (4) zu:

(4a)

und für den Fall, dass der Raumwinkel ΩS der Lichtquelle den Wert 10-2 sr überschreitet, vereinfacht sich Gleichung (4) zu:

(4b)

Eine Überschreitung der Immissionsrichtwerte k gemäß Tabelle 2 als Anlass für behördliche Anordnungen kann wegen der Fehlergrenzen der zugrunde gelegten Messtechnik und bei sorgfältiger Messdurchführung messtechnisch erst dann festgestellt werden, wenn das Blendmaß der zu beurteilenden Lichtquelle kS mindestens 40 % oberhalb des entsprechenden Immissionsrichtwertes liegt. Dabei ist für die Messgrößen LS, ΩS, LU,messein relativer Fehler von jeweils 20 % zugrunde gelegt.

5.3 - Beurteilung mehrerer Blendlichtquellen im Blickfeld

Bei mehreren räumlich getrennten Beleuchtungsanlagen im Sichtbereich ist grundsätzlich jede für sich zu beurteilen.

Besteht eine Beleuchtungsanlage aus mehreren, dicht beieinander stehenden einzelnen Leuchten (Array), so darf jede einzelne Leuchte die Immissionsrichtwerte für Blendung nach Tabelle 2 nicht überschreiten.

Bei gleichmäßiger Leuchtdichteverteilung über die Einzelleuchten kann das ganze Array nach Abschnitt 5.2 vermessen werden. Im Nenner muss der Raumwinkel der Einzelleuchte angesetzt werden. Der Messwert LM × WM ist durch die Anzahl der durch das Messfeld erfassten Leuchten zu teilen. Ist die Leuchtdichte ungleichmäßig verteilt, ist eine Flächenteilung erforderlich und der Maximalwert zu beurteilen.

Bei Arrays wird die Störwirkung unter Umständen zu gering eingestuft, da die Belästigung durch die Gesamtanlage stärker als durch eine einzelne Leuchte ist. Gesicherte Ergebnisse über die Summenwirkung mehrerer Leuchten liegen jedoch bisher nicht vor.

5.4 - Anforderungen an die Blendmessungen

Die Messung von blendungsrelevanten Kenngrößen stellt hohe Anforderungen an die lichttechnischen Kenntnisse und praktischen Messerfahrungen des Prüfers sowie dessen Ausstattung mit geeigneten Messgeräten. Daher empfiehlt es sich erforderlichenfalls, einen entsprechend ausgewiesenen Fachmann heranzuziehen.

Das Leuchtdichtemessgerät muss es gestatten, von 0,01 cd/m2 bis zu 106 cd/m2 zu messen (in mehreren Stufen). Seine Auflösung muss 1 % des Skalenendwertes des jeweiligen Messbereiches betragen. Eine beleuchtete Digitalanzeige ist empfehlenswert. Die Geräte müssen mindestens den Anforderungen der Klasse B nach DIN 5032, Teil 7 [1] entsprechen und einem Gesamtfehler < 15 % genügen. Entsprechendes gilt auch für Leuchtdichtemesskameras.

5.5 - Messungen/Berechnungen

5.5.1 - Beurteilung einer Blenddichtquelle

Für die Bestimmung des Blendmaßes kSnach Abschnitt 5.2 ist die Leuchtdichte LSder zu beurteilenden Blendlichtquelle, der zugehörige Raumwinkel ΩS (siehe Abschnitt 5.5.3) und die Umgebungsleuchtdichte zu ermitteln und mit den Immissionsrichtwerten k für Blendung nach Tabelle 2 zu vergleichen.

5.5.1.1 - Berechnung der Leuchtdichte der Blendlichtquelle

Sind die Daten der Blendlichtquelle (Lichtaustrittsfläche FPder Leuchte, Lichtstärkeverteilung (l) sowie der Winkel zwischen der Normalen der Lichtaustrittsfläche und dem Immissionsort bekannt, so kann die Leuchtdichte der Blendlichtquelle LS berechnet werden:

LS = 1/FP (5)

Dieser Wert wird zur Berechnung von kS nach Gleichung (3) verwendet ( Abschnitt 5.2). Sind diese Daten nicht vorhanden, so ist wie folgt zu verfahren.

5.5.1.2 - Messung der Leuchtdichte der Blendlichtquelle

Die Messung erfolgt bei Dunkelheit und klarem Wetter vom Immissionsort aus, zum Beispiel vom Aufenthaltsraum bei geöffnetem Fenster, vom Balkon oder von der Terrasse. Es sollten möglichst mehrere Messfeldblenden mit Winkeldurchmessern im Bereich von ca. 10° bis ca. 10´ (Winkelminuten = 3 mrad)2 zur Verfügung stehen. Wegen der mit sehr kleinen Blenden verbundenen Richtungsunsicherheiten sollte nicht nach Gleichung (3), sondern mit möglichst großen Blenden nach den Gleichungen (4), (4a) und (4b) verfahren werden. Wesentlich ist nur, dass nicht Fremdquellen erfasst werden.

Die Raumwinkel, für Kreiskegel mit dem vollen Öffnungswinkel α, zu den Messblenden werden wie folgt berechnet:

ΩM = 2 π (1 - cos (α/2)) (5)

Der Anzeigeumfang liegt zweckmäßigerweise etwa im Bereich von 10-2 cd/m2 bis 106 cd/m2. Bei der Messung ist auf genaue Fokussierung und Ausrichtung des Messgerätes zu achten.

Es wird das Blendmaß kS nach Abschnitt 5.2 (Gleichung (3)) gebildet. Dort sind weitere Hinweise zur Auswertung angegeben.

Ist der Raumwinkel ΩS der Lichtquelle größer als der Raumwinkel ΩM des Messgerätes und überdeckt er ΩMvollständig, so wird flächenrepräsentativ an mehreren Punkten der Lichtquelle gemessen und aus den Messwerten der arithmetische Mittelwert kS gebildet. Bei sehr großen Leuchtdichteunterschieden auf einer Fläche gilt Abschnitt 5.2 sinngemäß.

5.5.2 - Umgebungsleuchtdichte

Die Leuchtdichte der Umgebung ist die durch Messung LU,mess ermittelte mittlere Leuchtdichte in einem Winkelbereich von αU= ± 10° um die zu beurteilende Lichtquelle.

Messungen in schutzwürdigen Räumen sind bei geöffnetem Fenster durchzuführen. Bei der Messung ist die Raum- beziehungsweise Terrassen- oder Balkonbeleuchtung auszuschalten. Die zu beurteilende Lichtquelle bleibt jedoch eingeschaltet, da diese die Umgebungsleuchtdichte beeinflussen kann.

Die Umgebungsleuchtdichte kann mit einem Leuchtdichtemessgerät mit möglichst großer Messfeldblende (Winkeldurchmesser etwa > 1°) ermittelt werden, indem räumlich repräsentativ an mehreren Punkten im Winkelbereich von ± 10° um die zu beurteilende Lichtquelle gemessen wird. Die zu beurteilende Lichtquelle selber und gegebenenfalls weitere Blendquellen im ± 10°-Feld bleiben dabei ausgespart.

Sehr helle Lichtquellen wie zum Beispiel Flutlichtstrahler müssen dabei nicht nur außerhalb des Messfeldes, sondern sogar außerhalb des Gesichtsfeldes des Leuchtdichtemessers bleiben, da andernfalls das Streulicht im Objektiv das Messergebnis zu sehr verfälscht. Die Umgebungsleuchtdichte LUmessergibt sich dann als Mittelwert der einzelnen Leuchtdichtemesswerte Li.

Für sehr hoch angebrachte Leuchten, zum Beispiel Flutlichtanlagen an Sportstätten, weist die von unten betrachtete Umgebung (Nachthimmel, Bäume) selten mehr als LU= 0,1 cd/m2 auf.

5.5.3 - Raumwinkel der Blendlichtquelle

Der Raumwinkel ΩSwird bei direkt abstrahlenden Lampen durch die vom Immissionsort aus sichtbaren Lampenabmessungen aufgespannt. Wenn das Licht durch Reflexion, Refraktion oder Streuung an der Leuchte zum Immissionsort gelenkt wird, sind die vom Immissionsort aus sichtbaren, Licht abstrahlenden Leuchtenabmessungen ("scheinbare" Leuchtengröße bedeutet die Flächenprojektion auf eine Ebene senkrecht zur Verbindungsgraden Immissionsort-Leuchte) zugrunde zu legen.

Zur wirksamen Blendquellengröße sollten noch die Zonen mit einbezogen werden, die sich bis zu einem Faktor 0,01 hinsichtlich der Leuchtdichte von den hellsten Zonen unterscheiden.

Geht die Blendwirkung einer zu beurteilenden Lichtquelle maßgeblich von einer bestimmten, leuchtenden Teilfläche aus (zum Beispiel der Lampe innerhalb eines Leuchtenkörpers), so ist auch diese gegebenenfalls separat zu beurteilen.

Die Ermittlung des Raumwinkels kann rechnerisch aus den Abmessungen der Blendlichtquelle, den Neigungswinkeln relativ zum Beobachter und dem Abstand zwischen der Blendlichtquelle und dem Immissionsort durchgeführt werden.

Der Raumwinkel ΩSder Lichtquelle wird rechnerisch nach folgender Beziehung ermittelt:

ΩS = FP/ R2 (7)

mit FP= Fi cos(ε).

Es bedeuten:

Fi lichtabstrahlende Lampen- beziehungsweise Leuchtenfläche in m2
FP Projektion der lichtabstrahlenden Lampen- beziehungsweise Leuchtenfläche auf eine Ebene senkrecht zur Verbindungsgraden Immissionsort-Leuchte ("scheinbare" Leuchtengröße) in m2
R direkter Abstand zwischen Lichtquelle und Immissionsort in m
e Winkel zwischen Lot auf die Leuchtenfläche und Verbindungsgerade Immissionsort-Leuchte

Da oft nicht alle Größen (R, Fi und ε) bekannt oder einfach zu ermitteln sind, können andere Methoden zur Bestimmung des Raumwinkels vorzuziehen sein.

Einfach zu ermitteln ist der Raumwinkel rechteckiger Flächen durch reine Winkelmessungen mittels Theodolit vom Immissionsort. Der Raumwinkel ergibt sich dann aus der Winkeldifferenz der Eckpunkte der Lichtaustrittsfläche zu:

ΩS= 4 × sin Δ V/2 × sin Δ Hz/2 (7a)

oder

ΩS= sin Δ V × sin Δ Hz (7b)

Δ Hz, Δ V siehe Abbildung 1

Gleichung (7b) gilt für nicht zu große Winkel.

Der Fehler ist > 0,2 % für Winkel > 5° und > 1,7 % für Winkel > 15°.

Liegt das Strahlerfeld verdreht im Messfeld des Theodoliten, dann ergibt sich für kleine Winkel (beziehungsweise Abstand zur Lichtquelle sehr groß im Vergleich zu den Abmessungen):

ΩS= [(sin2 Δh1+ sin2 Δh2) × (sin2Δ V1+ sin2 Δ V2)0,5] (8)

Δh1, Δh2, Δ V1, Δ V2 siehe Abbildung 1

Abbildung 1 : Raumwinkelbestimmung durch Winkelmessung mit Theodolit

links: bei "horizontalem" Strahler
rechts: bei "verdrehtem" Strahler

Der mögliche Fehler bei der Raumwinkelbestimmung mit dem Theodoliten bewegt sich je nach Größe des zu ermittelnden Raumwinkels im Bereich von etwa 5 % bis 10 %. Als Theodolit eignen sich alle im Vermessungswesen eingesetzten Geräte. Moderne Geräte mit beleuchteter Messwertanzeige sind vorzuziehen. Zur Messung von Flutlichtstrahlern (sehr hohe Leuchtdichte) kann ein Graufilter nützlich sein.

Ist eine störende Leuchte, zum Beispiel wegen Bewuchs vom Messort nur teilweise sichtbar, führt dies tendenziell zu einem geringeren Blendmaß kS (siehe Gleichung (3)) für diese Leuchte. Die Erfassung der blendrelevanten Parameter hängt in diesem Fall verstärkt von den messtechnischen Möglichkeiten ab. Grundsätzlich ist das Blendmaß von der ungestörten Lichtquelle kS,0 zu bestimmen, das sich um den Minderungsfaktor (Mf)

(9)

verringert. Das Maß der Verdeckung kann von der genauen Betrachterposition abhängig sein, so dass die Reproduzierbarkeit und Dokumentation bei der Beurteilung im Besonderen zu berücksichtigen ist. Ferner kommen nur Störflächen in Betracht, die permanent vorhanden sind, also zum Beispiel auch im Winter.

Hinweis:

Sehr kleine Quellen können durch Äste bei Windstille verdeckt sein, bei Wind aber periodisch sichtbar werden. In diesen Fällen ist kein Minderungsfaktor anzuwenden.

5.5.4 - Kamera als Messeinrichtung

Für die Messung des Raumwinkels ΩS aus der fotografischen Aufnahme einer analogen Kamera, die vom Immissionsort aus aufgenommen wird, gilt für große Abstände R ≫ f:

ΩS= FNeg/f (10)

Es bedeuten:

FNeg Fläche des Bildes der Lichtquelle auf dem Negativ oder Dia in mm2
f Brennweite des Photoobjektivs in mm

Bei der Aufnahme ist auf genaue Fokussierung und Verwacklungsfreiheit zu achten.

Die Objektivbrennweite hängt von der Größe der Lichtquelle und ihrer Entfernung zum Immissionsort ab; sie liegt für das Kleinbild-Format in einem Bereich von ca. 135 mm bis 1000 mm, um eine möglichst formatfüllende Aufnahme zu erhalten.

Ein Fotoapparat zur fotografischen Ermittlung des Raumwinkels ΩS benötigt verschiedene Objektive geeigneter Brennweite. Die Objektivbrennweite muss einmal an einem Objekt bekannter Größe in bekannter Entfernung überprüft werden.

Es müssen stets mehrere Aufnahmen mit unterschiedlicher Belichtung gemacht werden, um eine optimal belichtete Aufnahme für die Auswertung zu erhalten.

Der Raumwinkel einer Blendlichtquelle kann inzwischen auch durch Fotografie mit einer digitalen Kamera bestimmt werden. Voraussetzung ist die Möglichkeit zur manuellen Schärfeeinstellung und zur manuellen Belichtungssteuerung. Die Kamera sollte für eine gute Auflösung im Abbild der zu beurteilenden Lichtquelle über eine genügend hohe Pixelauflösung in Verbindung mit mindestens einem geeignetem Objektiv, in der Regel einem Teleobjektiv mit einer der Messaufgabe angepassten höheren Brennweite, verfügen. Als Zubehör sind in der Regel ein Graufilter zur Intensitätsminderung sowie ein Stativ zur Fixierung der Kamera am Messort angezeigt.

Das Messobjekt wird vollständig, aber möglichst großformatig abfotografiert. Aus dem Digitalfoto lässt sich mit geeigneten Standardprogrammen an einem Standard-Computer die Pixelanzahl der zu beurteilenden Lichtquelle direkt angeben. Die Digitaltechnik ermöglicht prinzipiell eine direkte Beurteilung der Aufnahme; Fehlbelichtungen sind eher auszuschließen. Gegebenenfalls empfehlen sich Wiederholungsaufnahmen mit variabler Belichtung. Die Zahl der Pixel im Abbild des Messobjekts bestimmt die Messunsicherheit.

Um aus der Pixelanzahl des Beurteilungsobjekts den zugehörigen Raumwinkel anzugeben, muss entweder der mittlere Raumwinkel eines Pixelelements, zum Beispiel durch vorherige Kalibrierung, bekannt sein oder eine Skalierung des Fotos, zum Beispiel durch Vergleichsaufnahme mit einem Objekt bekannter Größe bei gleichen Kameraeinstellungen, erfolgen. In letzterem Fall muss zusätzlich der genaue Abstand zur Lichtquelle bekannt sein, zum Beispiel durch Messung mit einem Standardentfernungsmesser für mittlere Entfernungen.

5.5.5 - Leuchtdichtemesskamera als Messeinrichtung

Eine komfortable Möglichkeit zur messtechnischen Bestimmung der blendrelevanten Parameter bieten spezielle digitale Leuchtdichtekameras, gegebenenfalls in Verbindung mit systemeigenen Objektiven sowie einem portablen Notebook zur Messdatenanalyse. Solche Systeme ermöglichen die Erstellung eines ortsaufgelösten Leuchtdichtebildes von den zu beurteilenden Lichtquellen und deren Umgebung.

Mit Hilfe zugehöriger Software lässt sich die mittlere Leuchtdichte der jeweiligen Lichtquelle direkt ablesen. Je nach Ausführung lassen sich mit einem solchen Kamerasystem aus der digitalen Aufnahme auch noch direkt der Raumwinkel der Lichtquelle sowie die Umgebungsleuchtdichte bestimmen.

Voraussetzung für Messergebnisse mit geringer Messunsicherheit ist die Verfügbarkeit von Objektiven mit geeigneter Brennweite, die die Blendlichtquelle mit möglichst großer Pixelauflösung scharf und wegen der hohen Lichtintensität mit Hilfe eines Graufilters abbilden. Für die Messung der Umgebungsleuchtdichte ist in der Regel ein weiteres Objektiv zur Abbildung des ±10°-Messumfeldes um die Lichtquelle sinnvoll beziehungsweise erforderlich. Der Bereich der Blendquelle selbst lässt sich im Leuchtdichtebild softwareseitig ausblenden. Der Raumwinkel ergibt sich aus der Pixelanzahl des Messobjekts, wenn die mittlere Größe eines Pixels durch vorherige Kalibrierung bekannt ist.

Messungen sind auch mit digitalen Fotoapparaten, die hinsichtlich der Leuchtdichte kalibriert wurden, möglich. Die bei diesen Systemen durch die schlechtere V(Lambda)-Anpassung entstehenden Messabweichungen können bei Kenntnis der Art der in den Blendquellen verwendeten Leuchtmittel durch entsprechende Korrekturfaktoren verringert werden.

6 - Maßnahmen zur Vermeidung und Minderung der Störwirkung

Gegebenenfalls zu erwartende störende oder belästigende Einflüsse durch Lichtimmissionen auf die schutzwürdige Nachbarschaft sollen möglichst bereits bei der lichttechnischen Planung von gewerblichen Anlagen, Sportplätzen, Parkhäusern, Tiefgaragen usw. berücksichtigt werden. Dies wird wesentlich dadurch gewährleistet, dass Lichtquellen möglichst so abgeschirmt werden, dass diese nicht von relevanten Immissionsorten einsehbar sind.

Die eventuelle Beeinträchtigung der Nachbarschaft ist abhängig von Ort, Neigung, Höhe und Abschattung der Leuchte. Unter bestimmten Umständen sind mehrere räumlich verteilte Leuchten aus der Sicht des Nachbarschutzes günstiger als wenige zentrale Leuchten.

Zur Vermeidung von störenden Lichtimmissionen/Blendeffekten sollten die Leuchtflächen von Lichtquellen selbst nach Möglichkeit nicht sichtbar beziehungsweise einsehbar sein, sondern nur der aus- oder anzuleuchtende Bereich. Vorteilhaft kann eine Beleuchtung von oben sein, wenn sich die Lichtquellen nicht im natürlichen Sichtfeld befinden.

Hinweis:

Für Flutlichtanlagen von Großstadien ist aufgrund der besonderen lichttechnischen Anforderungen (TV-Tauglichkeit) eine Einhaltung der Immissionsrichtwerte nach dem Stand der Technik in der Regel nicht möglich. Dies soll insbesondere bei (Neu-)Planungen in der Nähe von schutzwürdiger Nachbarschaft berücksichtigt werden.

Insbesondere folgende Maßnahmen zur Minderung von Lichtimmissionen haben sich bewährt:

  1. Notwendigkeit der Beleuchtung abklären
  2. Klärung des Lichtbedarfs/Beleuchtungsniveaus nach Intensität, Gleichmäßigkeit auf den gewünschten Flächen
  3. geeignete Auswahl, Anzahl, Platzierung und Ausrichtung der Leuchten, zum Beispiel Planflächenstrahler
  4. Lichtlenkung ausschließlich in die Bereiche, die künstlich beleuchtet werden müssen
  5. zusätzliche technische Maßnahmen (Abschirmblenden, optische Einrichtungen wie Spiegel und Reflektoren, Leuchten mit begrenztem Abstrahlwinkel)
  6. Ausrichtung der Beleuchtung grundsätzlich von oben nach unten
    Direkte Blickverbindung zur Leuchte sollte vermieden werden. Ist dies nicht möglich, sind zum Schutz der Nachbarschaft Blenden vorzusehen (siehe Abbildung 2 a und b).
  7. Beleuchtungen sollten nur nach unten und maximal 80° schräg zur Seite strahlen. Sie sollten möglichst niedrig angebracht sein, so dass zum Beispiel nur der zu beleuchtende Fußweg hell wird.
    Für größere Plätze, die gleichmäßig ausgeleuchtet werden sollen (zum Beispiel Lager- und Sportplätze) sind Scheinwerfer mit asymmetrischer Lichtverteilung zu verwenden, die oberhalb von 80° Ausstrahlungswinkel (zur Vertikalen) kein Licht abgeben, zum Beispiel Strahler mit horizontaler Lichtaustrittsfläche (siehe Abbildung 2).
  8. optimierte Lichtpunkthöhen
  9. Es sollten möglichst niedrige Flutlichtmasten für Sportstätten und Lagerplätze installiert werden. Bei der Planung und Ausführung ist darauf zu achten, dass nur die notwendige Fläche beleuchtet wird. Streubereiche sind zu vermeiden. Bei Flutlichtanlagen im Freien sind jedoch gerade höhere Masten in Verbindung mit asymmetrischen Planflächenstrahlern zur Immissionsminimierung vorteilhaft.
  10. Begrenzung der Betriebsdauer auf die nötige Zeit
    Insbesondere während des Beurteilungszeitraumes "nachts" kann eine Abschaltung oder Reduzierung des Beleuchtungsniveaus sinnvoll sein.
  11. Wenn der Beleuchtungsbedarf in den Nachtstunden nur selten besteht, kann die Nutzung eines Bewegungsmelders vorteilhaft sein. Bei häufigem Ein-/Ausschalten kann dagegen die Störwirkung in der Nachbarschaft überwiegen. Die Ansprechempfindlichkeit, Einschaltdauer und der Ausleuchtungsbereich der Beleuchtungsanlage sind hierbei zu beachten.
  12. Indirekte Beleuchtungssysteme wie Wandfluter oder Metallspiegel sind zu vermeiden.
  13. Lampentypen (Bauart der Lichtquelle)
  14. Umrüstung von Altanlagen
  15. Ersetzen von beweglichen beziehungsweise zeitlich schwankenden Lichtquellen durch stationäre beziehungsweise konstante Lichtquellen, soweit dies mit dem Zweck der Anlage zu vereinbaren ist
  16. Abdunkeln großer, von innen beleuchteter Fensterflächen (zum Beispiel beleuchtete Arbeitsräume, Gewächshäuser etc.) durch Jalousien oder Rollos

Abbildung 2 : Nicht empfehlenswerte und empfehlenswerte Varianten von Leuchten

Literaturübersicht

[1] DIN 5032, Teil 7 - Lichtmessung; Klasseneinteilung von Beleuchtungsstärke- und Leuchtdichtemessgeräten, Dezember 1985, Beuth Verlag GmbH, Berlin

[2] Herausgeber: Deutsche Lichttechnische Gesellschaft e. V. Berlin - Messung und Beurteilung von Lichtimmissionen künstlicher Lichtquellen, LiTG-Publ. Nummer 12, 3. überarbeitete Auflage (2011), ISBN 978-3-927787-35-3

[3] Gerhard Eisenbeis und Klaus Eick - Studie zur Anziehung nachtaktiver Insekten an die Straßenbeleuchtung unter Einbeziehung von LEDs, Natur und Landschaft, Heft 7, 2011

[4] Christof Herrmann, Hermann Baier und Thomas Bosecke - Flackernde Lichtspiele am nächtlichen Himmel, Naturschutz und Landschaftsplanung 38, (4), 2006

[5] Länderausschuss für Immissionsschutz - Hinweise zur Ermittlung und Beurteilung der optischen Immissionen von Windenergieanlagen (WEA-Schattenwurf-Hinweise), verabschiedet auf der 103. Sitzung, Mai 2002

Verwendete Abkürzungen

E Beleuchtungsstärke, gemessen in lx
EF mittlere Beleuchtungsstärke am Immissionsort, normalerweise in der Fensterebene, bei Terrassen und Balkonen in der Ebene vertikaler Bezugsflächen
F Brennweite eines Fotoobjektivs in mm
FNeg Fläche des Bildes einer Lichtquelle auf einem fotografischen Negativ oder Dia in mm2
FP Projektion der Lichtaustrittsfläche der Leuchte auf eine Ebene senkrecht zur Verbindungsgeraden Immissionsort-Leuchte in m2
R direkter Abstand zwischen Lichtquelle und Immissionsort in m
Fi Lichtaustrittsfläche der Leuchte in m2
K Immissonsrichtwert für die physiologische Blendung, abhängig von der Gebietseinstufung und Beurteilungszeit
kS Blendmaß zur Festlegung der Immissionsrichtwerte für die maximal tolerable Blendung einer Blendlichtquelle beziehungsweise zur unmittelbaren Beschreibung der Güte der Blendungsbegrenzung
L Leuchtdichte, gemessen in cd/m2
LS mittlere Leuchtdichte der zu beurteilenden Blendlichtquelle
LU,mess mittlere Leuchtdichte des (± 10°-)Umfeldes der zu beurteilenden Blendlichtquelle
LU messgebende Leuchtdichte der Umgebung der Blendlichtquelle
Lmax maximal tolerable mittlere Leuchtdichte einer Blendlichtquelle
LM mittlere Leuchtdichte im Messfeld eines Leuchtdichtemessers
l Lichtstärke in cd
Mf Minderungsfaktor des Blendmaßes
Ω Raumwinkel, unter dem eine (leuchtende) Fläche erscheint, gemessen in sr Ω = FP/R2 (FP= Flächenprojektion; R = Abstand zur Fläche) Ω = 2 π × (1 - cos α/2) für Kreiskegel mit Öffnungswinkel α
ΩS Raumwinkel, unter dem die zu beurteilende Blendlichtquelle erscheint
ΩU Raumwinkel des Umfeldes; ΩU= 0,095 sr für αU = 20°
ΩM Raumwinkel zum Messfeld eines Leuchtdichtemessers, zum Beispiel ΩM= 0,000239 sr für α= 1°
ΩStörfläche gesamter Raumwinkelanteil von Sichthindernissen auf einer zu beurteilenden Beleuchtungsanlage, wie zum Beispiel Bewuchs, aus Sicht vom Immissionsort; es gilt: ΩStörfläche ≤ ΩS
α voller Öffnungswinkel eines Kreiskegels, gemessen in Grad
αU voller Öffnungswinkel des kreisförmigen Umfeldes um die zu beurteilende Blendlichtquelle, Festlegung αU = 20°
ε Winkel zwischen der Senkrechten auf der Lichtaustrittsfläche der Leuchte und der Verbindungsgeraden Immissionsort-Leuchte
Δ V, Δ Hz, Δh1, Δh2, Δ V1, Δ V2 Winkeldifferenzen bei Messung mit Theodolit, siehe Abbildung 1

1) Eine Untersagung des Betriebs kommt nur unter den in § 25 BImSchG genannten Voraussetzungen in Betracht.

2) Die Feld-Untersuchungen kleinerer Quellen erfordern wegen der Justier-Probleme andere Verfahren zum Beispiel mit einer CCD-Kamera und geeigneter Hard- und Software zur Auswertung.

ENDE

umwelt-online - Demo-Version


(Stand: 26.07.2025)

Alle vollständigen Texte in der aktuellen Fassung im Jahresabonnement
Nutzungsgebühr: ab 105.- € netto

(derzeit ca. 7200 Titel s.Übersicht - keine Unterteilung in Fachbereiche)

Preise & Bestellung

Die Zugangskennung wird kurzfristig übermittelt

? Fragen ?
Abonnentenzugang/Volltextversion